0. Introducción.
Buenas.
Seguimos con la elaboración de artículos sobre la Economía como disciplina académica. Como habréis observado, he vuelto a escribir relativamente poco después de redactar mi último artículo. No es que le esté “metiendo al turbo”… es que estoy de vacaciones y me puedo permitir el dedicarle un poco de tiempo al blog, que lo tenía “abandonadillo”. Ya sabéis que no suelo actualizar a menudo. Quiero aprovechar este tiempo libre para realizar otras actividades que mi trabajo y mi actividad social como sindicalista no me permiten todo lo que me gustaría: cuidar la huerta, plantar árboles (a ver si germinan esas semillas de drago que me enviaste, Sibila), viajar… y leer. Tengo pendientes esos manuales de Econometría que me compré recientemente (se me hace la boca agua… ese “Gujarati” parece estar mirándome y diciendo: “léeme, oh sí, léeme, tengo grandes cosas que descubrirte, oh, sí…”).
Bueno, pues hoy voy a atender una petición que me ha hecho Juan Carlos Luque Sánchez por correo electrónico. Juan Carlos se pregunta que si la Economía es una ciencia, ¿cómo es que parece que no haya aportado descubrimientos científicos realizados por ella misma?
Es decir, por lo que leo en su mensaje, a Juan Carlos le parece que, por más que lee sobre Economía (admite no haber leído mucho ni haber leído publicaciones especializadas), todo son teorías, y no hay ningún descubrimiento ni “invento científico” realizado por ella como ciencia (dice querer estudiar Medicina), y le gustaría saber si hay alguno que no sea meramente teórico, sino que tenga “enjundia”, que tenga interés práctico, importancia y aplicación física (…como la Medicina).
Bueno, pues no te preocupes, chico, que los hay. Hay “inventos” e “invenciones científicas” hechas por la Economía a patadas, a montones, “a cascoporro”… y de aplicación práctica y más que práctica… incluso en el mundo de la Medicina.
Este artículo, aparte de responder a la pregunta de Juan Carlos, pretende desmontar y refutar (otra vez) de manera clara y contundente la falsa creencia o percepción que existe entre mucho ignorante sobre que la ciencia económica no es tal y que está constituida tan sólo por “teorías” y por “opiniones de autores”.
Obviamente, la persona educada, formada o con cultura general, sabe que no es así (ahí están, por ejemplo, la producción en cadena o el descubrimiento de los conceptos marginales).
Pero, a nivel popular esto se desconoce y, lo que es peor, muchas veces se conoce pero se miente de manera adrede sobre ello. Eso último sucede especialmente entre determinados sectores ideológicos radicales y alejados del pensamiento principal (y del sentido común) porque a esos “grupos” no les interesa en absoluto que se reconozca a la Economía como ciencia ya que las conclusiones a las que ésta llega como ciencia, contradicen los fundamentos de sus ideas. Y lo último que quieren estos “grupos” (me estoy refiriendo a ultraliberales, anarquistas, conspiranoicos, etc.), es que se contradigan sus conclusiones con la certeza que da una disciplina científica. Porque eso SÍ que se percibe a nivel popular: que la ciencia da la razón. Luego si la Economía no les da la razón a estos grupos… es, según ellos, porque la Economía no es una ciencia, no porque ellos puedan estar equivocados.
Claro, claro…
Pues que se jodan que lo es.
Ya vimos en anteriores artículos que la Economía es una ciencia pero que bien ciencia por mucho que los ultraliberales de la escuela austríaca se empeñen en intentar hacer ver que no, y en otro vimos la importancia de los aspectos de “ciencia dura” (como las matemáticas) dentro de la Economía.
Porque os recuerdo que la Economía no es sólo “ciencia social” y que es prima hermana de las matemáticas (la Economía es muchííííísimo más que las escuelas económicas y las opiniones de autores).
Pues de eso vamos a hablar hoy… de una invención econometrista (esto es, de la estadística económica) realizada por economistas, por motivos económicos, y que en la actualidad tiene una amplia difusión y uso práctico en innumerables ramas de la actividad humana: el muestreo secuencial.
¿Por qué el muestreo secuencial? Pues en realidad he escogido este tema porque cuando Juan Carlos me preguntó por una aplicación práctica de un descubrimiento realizado por la Economía, pensé a la hora de escoger entre las muchas posibilidades que se me brindaban: “pues hombre, así escogiendo una al azar…” Y de las palabras “posibilidades” y “azar”, y el hecho de que Juan Carlos dice ser un admirador de la ciencia médica, se me vino a la cabeza el muestreo secuencial, que tiene que ver con todo eso. Vamos, que podría haber escogido cualquier otra, pero me centro en esta “invención” porque dado que es no sólo una invención económica sino también matemática, espero que nadie discuta su certeza… Si hay algo cierto, son las matemáticas.
[Nota 1: de todas formas no las tengo todas conmigo de convencer a todo el mundo: desde que abrí el blog hay quien me ha cuestionado incluso que 2 + 2 = 4. Sí, sí, sí… no miento: ahí tenéis los comentarios en artículos anteriores, buscadlos. Vamos a ver, señores, ahí yo ya no entro: una cosa es ser “radical” y otra, ser directamente gilipollas. Yo no dialogo ni debato con enfermos mentales, ¿vale?
Nota 2: una advertencia. Voy a hablar de matemáticas. De matemáticas avanzadas. Así que preparaos. Va a ser largo y complicado. Intentaré ser lo más claro posible y hacerme entender hasta para el que no tenga mucha idea, que sé que la inmensa mayoría de los que me leen no tienen ni maldita idea de matemáticas. Pero tenéis que poner de vuestra parte a la hora de entender la explicación: se supone que, como mínimo, sabréis sumar, multiplicar, graficar y lo que es un logaritmo, ¿no?
Nota 3: os recuerdo las “normas para poder solicitar artículos”.
Y ya que estamos, aprovecho también para recordaros que existen unas “normas para poder comentar”, de obligado cumplimiento.
No se desfiltrarán los comentarios de (ni escribiré artículos para aquellos que) no las cumplan. Graciasssss.]
.
1. Los orígenes del muestreo secuencial. El concepto de muestreo secuencial. Cómo y por qué se llegó a él. Quiénes lo inventaron.
.
1.1. Antecedentes.
El análisis secuencial comenzó bajo la forma de juegos y conceptos matemáticos, que intentaban analizar cómo se comportaban un conjunto de probabilidades complejas cuando se aplicaban repetidamente a lo largo del tiempo (“secuencias” o “sucesiones”; una sucesión en matemáticas es una lista ordenada de objetos o eventos).

Retrato de Christiaan Huygens (1629-1695), titulado ‘Christiaan Huygens, el astrónomo’, por Caspar Netscher (1671). Haags Historisch Museum.
Uno de estos juegos, precursor del muestreo secuencial, era el conocido como “la ruina del jugador”, desarrollado por el matemático Christiaan Huygens (1629-1695), si bien otros estudiosos de las matemáticas de los siglos XVII y XVIII como Bernoulli, DeMoivre y Laplace, también le dedicaron atención a esta cuestión.
Este “juego” consiste en demostrar que un jugador que eleve su apuesta a una fracción fija de la de la banca cada vez que gane, pero no la reduzca cuando pierda, irá a la quiebra con el tiempo incluso aunque tenga un valor esperado (o esperanza matemática) positivo en cada apuesta (sí, sí… como leéis: aunque tenga una ventaja de sacar más aciertos). También significa que un jugador con riqueza finita a su disposición, y que juegue a un juego justo (esto es, que cada jugador tenga un valor esperado de 0), perderá irremediablemente (irá a la quiebra) contra un oponente con riqueza infinita.
Esto dio lugar al teorema de Huygens que hoy conocemos como “la ruina del jugador”. El teorema muestra cómo calcular la probabilidad de que cada jugador gane una serie de apuestas que continúen hasta que se le agote a alguno el dinero inicial disponible, dados (o conocidos):
-el dinero inicial,
-la probabilidad constante de ganar (p.e. 50%).
.
Ejemplo: un juego de cara o cruz donde cada uno de los dos jugadores tenga un 50% de ganar, y cada vez que uno pierde, le tiene que dar un euro al ganador y el juego termina cuando uno de los dos se queda sin ningún euro.
Si no hay otros límites al número de lanzamientos de monedas, la probabilidad de que el juego termine de esta forma es del 100% (suponiendo que tenemos todo el tiempo del mundo para jugar, claro).
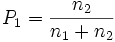
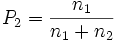
Si el jugador uno tiene n1 euros y el jugador dos tiene n2 euros, las probabilidades de que el jugador uno (P1) y el jugador dos (P2) terminen sin un euro son:
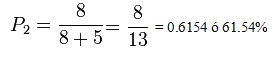
Imaginaos que uno de los jugadores tenga más euros que el otro. Por ejemplo, que el jugador uno (P1) tenga 8 euros y el jugador dos (P2) tenga 5 euros. ¿Cuáles son las probabilidades de que cada uno pierda?
Así, incluso con las mismas oportunidades de ganar, el jugador que empiece con menos euros es el más proclive a perder a la larga (esto es, quedarse a 0 euros). Si los dos jugadores tuvieran el mismo número de euros, ambos tendrían la misma posibilidad de perder que es, obviamente, el 50%.
[Nota: hoy en día se utiliza este teorema también para mostrar (con tono moralista) que un jugador con una esperanza matemática negativa irá a la bancarrota independientemente del sistema de apuesta si no para de jugar. Obvio, ¿no? Pues de eso viven muchos casinos.]
Como véis, este teorema se basa en establecer límite de llegada (0) a una sucesión de apuestas. Ésa sería más adelante, la base teórica matemática del muestreo secuencial.
Bueno, pues estas cuestiones matemáticas permanecieron como un campo “esotérico” de las mismas o como una curiosidad con aparentemente poca relevancia práctica… hasta la llegada del estudio formal de la estadística en el siglo XVII (publicación en 1663 de Natural and Political Observations upon the Bills of Mortality, de John Graunt), la cual tomó esas curiosidades como base de su cada vez mayor desarrollo y ámbito de aplicación práctica… llegando en el siglo XIX y principios del XX a encontrársele aplicación en algo tan tremendamente necesario como los controles de calidad.
.
1.2. ¿Qué es un control de calidad?
Desde que el hombre es hombre, todas las organizaciones que éste ha creado, han intentado en mayor o menor medida, mejorar su competitividad creando, desarrollando e implementando estrategias, programas y técnicas que mejoren la calidad de sus productos y su servicio, y la productividad de aquello a lo que se dedican.
Es decir, un control de calidad no es más que un procedimiento para evaluar si se están haciendo bien las cosas… y si se pueden mejorar.
Espero que entendáis que eso es de una importancia tremenda para la Economía en general y para la Econometría (estadística económica) en particular. Es parte del proceso de mejoramiento continuo. De hecho, es una evaluación del mismo, vaya.
La estadística de finales del siglo XIX y principios del XX, que fue la época de auge de la Revolución Industrial, estaba centrada en su aplicación a la agricultura y la industria, y el análisis de la producción de ambas cada vez se fue haciendo más y más y más importante. Se necesitaba saber cada vez más y de mejor manera si lo que se estaba produciendo estaba “bien producido”, con una calidad suficiente para poder competir en un mercado que, cada vez más, exigía una mayor calidad en los productos que compraba. Y se inventaron y desarrollaron técnicas para poder evaluar eso.
Cuando un cliente recibe un lote de productos (materia prima, partes u otros componentes) tiene tres opciones:
-Aceptarlo.
-Inspeccionarlo al 100%.
-Realizar un muestreo de aceptación.
.
1.3. ¿Qué es un muestreo de aceptación?
Pues es un proceso de inspección de una muestra de unidades extraídas de un lote con el propósito de aceptar o rechazar todo el lote.
Una muestra es una parte o porción extraída de un conjunto por métodos que permiten considerarla como representativa de él.
Existen muchas técnicas de muestreo. El muestreo secuencial, que trataremos en este artículo en profundidad, es una de ellas.
Mucho ojo y tened esto en cuenta: el propósito de un muestreo no es estimar la calidad del producto en sí, sino juzgar los lotes. Puede que el producto en sí sea bueno… pero el lote que nos están vendiendo puede que contenga demasiados productos defectuosos como para que nos permitamos el aceptarlo. Nuestra misión consiste en evaluar si admitimos el lote o no porque contenga demasiados ordenadores descacharrados, no si admitimos el ordenador modelo Churrasco 3000 como “buen ordenador”. De evaluar eso se encargan los profesionales técnicos de sus respectivas áreas.
.
El muestreo de aceptación es útil cuando:
a) –La prueba es destructiva (hay que destruir el producto para examinarlo). Se pierden dinero y productos de venta.
b) –Es muy alto el coste de inspección o consume mucho tiempo (imaginaos tener que examinar toda la producción de máquinas de coser de una fábrica que nos han enviado… o un porcentaje que sea suficientemente significativo de esa producción, como un 80%)… la gente que inspecciona todo eso cobra un sueldo. Y no veas la de tiempo que se pierde (más cuanto más cantidad de producto hay que examinar).
c) –El número de artículos a inspeccionar es muy elevado. El error cometido en una inspección del 100% puede ser mayor que el cometido en un muestreo de aceptación. A ver si lo entendéis: aunque pueda parecer mejor examinar todo lo que nos han vendido o examinar todo lo que hemos producido, ello puede ser peor que examinar sólo una muestra. Por ejemplo, cuanto más tiempo empleemos en examinar los productos, tanto más cansados estaremos y más errores cometeremos examinándolos… podemos llegar a romperlos accidentalmente. ¿No os pasa a veces que después de mucho tiempo haciendo lo mismo se nos cansan los ojos y ya no estamos para nada? Pues eso se podría evitar si en vez de examinarlo absolutamente todo, examinamos sólo una muestra representativa… para manipular el menor número de productos posible.
d) –El historial del proveedor es bueno (y no se le quiere enfadar o cuestionar examinando un montón de productos que sabemos casi seguro que no van a estar mal).
Con un muestreo de aceptación ahorramos tiempo, dinero, personal… sin tener que dejar de examinar la calidad del producto.
Otra cosa: tened en cuenta que el que se acepte un lote con muchos defectuosos no es malo sólo para el cliente… también lo es para el proveedor, porque en cuanto el comprador se dé cuenta, lo más seguro es que no vuelva a comprarle o a negociar con él… Ésa es la base en la que se sustenta el hecho de que un control de calidad le interesa a todas las partes involucradas. Es por ello que la mayoría de las veces negocian entre ambos de antemano cuáles son las condiciones aceptables para admitir un lote de pedidos.
.
Resumiendo con el muestreo:
-Es menos costoso (en tiempo y dinero).
-Hay menos personal involucrado.
-Se maneja menos el producto (se reducen daños).
-Puede aplicarse cuando las pruebas son destructivas.
Pero:
a) -Se pueden aceptar lotes malos y rechazar lotes buenos aún con promedios de defectuosos bajos… si la técnica de muestreo empleada no es lo suficientemente compleja.
b) -Se requiere una serie de cálculos no necesarios en una inspección al 100%. Veremos algunos de esos cálculos más adelante. Son un poco complejos pero nada del otro mundo. El problema es que… no todo el mundo sabe hacerlos y eso es una desventaja comparado con examinar los productos al 100%: ahí no hay cuentas que valgan… se examina todo y punto. Eso lo puede hacer cualquiera, no se necesita un técnico en estadística (que cobre como un técnico de estadística).
.
Existen varios tipos de planes de muestreo, que son técnicas que se fueron inventando y desarrollando conforme se fueron necesitando en diferentes áreas, como el control de calidad.
Un plan de muestreo no es más que un planteamiento que indica el tamaño de la muestra que hay que utilizar y los criterios de aceptación o rechazo correspondientes para juzgar el lote. Porque no todas los planes de muestreo se ajustan al mismo tipo de producto, circunstancias, tiempo, etc. Si el mismo plan valiera para todo… emplearíamos sólo esa técnica, ¿no te jode?
Algunos de los diferentes tipos de muestreo que se fueron desarrollando desde la aparición de la estadística como disciplina:
-Simple (ahora hablamos de él).
-Doble.
-Múltiple.
-Múltiple secuencial (éste es el que vamos a ver).
Todos esos tipos pueden ser por atributos o por variables. No os quebréis la cabeza con esto, os los señalo para que veáis que existen varios porque no todas las circunstancias de examen de productos son iguales.
.
La estadística de finales del XIX consistía en cosas sencillas, como estudiar la producción tomando solamente una muestra de una población dada para el propósito de inferencia estadística. Puesto que solamente se toma una muestra, el tamaño de muestra debe ser lo suficientemente grande para extraer una conclusión. Una muestra grande muchas veces cuesta demasiado dinero y demasiado tiempo.
La estadística de la época se realizaba normalmente conforme a la recolección de lotes o conjuntos de datos. Los métodos estaban, por tanto, centrados en un solo examen de los datos, y las probabilidades se estimaban conforme a una sola evaluación de los datos.
En aquellos tiempos, los muestreos extendidos eran los más sencillos, como el plan de muestreo simple, que consistía en tomar una muestra de n unidades y se determina el destino del lote (aceptado o rechazado) en base a la información contenida en la muestra. Ejemplo: tomamos una muestra de tamaño (n) 80, y si hay más de 6 artículos defectuosos (c) que para nosotros es nuestro límite aceptable, se rechaza el lote.
Otro ejemplo: para estudiar la producción de una fábrica de máquinas de coser de la época y comprobar si la calidad de lo producido era buena o mala, había que examinar un número muy alto de máquinas de coser producidas… porque si no, no sería representativo de la producción total. Hacer eso cuesta una gran cantidad de dinero y lleva muchísimo tiempo… imaginaos tener que revisar el 80% de la producción anual de máquinas de coser de la fábrica para poder estimar si se estaban fabricando con una calidad aceptable o no. Había muchas veces que, ya que se ponían, examinaban el 100% de la producción con todos los costes adicionales que eso conlleva. O, lo que es peor… no se hacía para nada porque costaba dinero.
Si bien todos estos conceptos se fueron desarrollando poco a poco desde finales del XIX, como métodos de control de calidad, no fue hasta la llegada de la Segunda Guerra Mundial que las técnicas de muestreo experimentaron una auténtica revolución donde estas primitivas técnicas sirvieron de base de muchos y más sofisticados desarrollos en las metodologías secuenciales y de control de calidad. En esos años de la revolución econométrica fue cuando se inventó el muestreo secuencial.
.
1.4. Quiénes crearon el concepto de muestreo secuencial… y por qué.
A finales de los años 30 y principios de los 40, se produjo un incremento masivo (brutal, diría yo) de la producción de materiales de guerra (estalló la Segunda Guerra Mundial), y se necesitaba asegurar que los productos, en particular las municiones, fueran seguras para aquellos que las iban a utilizar (los soldados)… y seguras para matar al enemigo, claro. De la misma forma que durante esa guerra se produjeron avances tremendos en química (mejores combustibles), aerodinámica, mecánica y aviación (nuevos modelos de aviones, motores a reacción), el radar y el sonar, nuevos medicamentos (refinamiento y uso extensivo de la penicilina), etc… también se produjeron avances en matemáticas y Economía (como en el control de calidad) aunque no sea un hecho muy conocido.
[Nota: es bajo situaciones de presión (como una guerra) que la mente humana trabaja más. No estoy diciendo con eso para nada que las guerras sean necesarias, tan sólo que es cierto que se producen grandes avances científicos y técnicos (soluciones, vaya) cuando hay guerras y otras situaciones de presión, como una hambruna, una sequía, una plaga… se ve que el matarnos unos a otros o el evitar que nos maten agudiza el ingenio.]
El entonces Departamento de Guerra de EEUU (actual Departamento de Defensa, el equivalente a nuestro Ministerio de Defensa) se vio obligado a establecer un programa de control de calidad de la producción bélica para que sus soldados fueran a la guerra a matar japoneses y alemanes con buenas herramientas. El departamento quería hacer especial hincapié en la producción de municiones. Disparar un proyectil que no impacta en su blanco, o que explota antes de tiempo, etc., es una oportunidad perdida de matar a tu enemigo, pero también:
-es un desperdicio de material;
-de tiempo de producción;
-de dinero;
-pone en riesgo la vida de tu personal: puede explotarle a él o puede darle la oportunidad a su enemigo de matarle.
En definitiva, el Departamento de Guerra quería instaurar un programa de control de calidad de la producción bélica de municiones. Más concretamente, de las municiones antiaéreas. Y le encargó al Grupo de Investigación Estadística de la Division of War Research, (“División de investigación bélica”), que lo diseñara.

A Abraham Wald (1902-1950) se le conoce principalmente por la anécdota histórica relacionada con el sesgo del superviviente, de señalar que la muestra estadística de impactos causados en los aviones americanos por los alemanes en la SGM lo que indicaba en verdad era que las zonas que había que reforzar con blindaje eran donde NO daban. Pero Wald tuvo muchísimas más aportaciones. Fue el padre del muestreo secuencial y realizó numerosos descubrimientos en los campos de la Geometría, Teoría de la Decisión e Incertidumbre (trabajó con Oskar Morgenstern) y Econometría. Fuente: MacTutor History of Mathematics archive.
Esta división estaba agregada a la universidad de Columbia. Y en ese proyecto participaron econometristas (estadísticos económicos) de la talla de Abraham Wald, Jacob Wolfowitz, W. Allen Wallis y Milton Freedman.
[Nota: En algunos libros os encontraréis con que se le atribuye la invención del concepto de test secuencial (que no la aplicación desarrollada al completo y aplicada al control de calidad) al famoso matemático inglés Alan Turing como parte de su técnica criptoanalítica “Bamburismus” de descodificación del código encriptado “Enigma” que utilizaba la marina de guerra alemana en la Segunda Guerra Mundial. En realidad, Wald y Turing desarrollaron el concepto al mismísimo tiempo (años 40), pero se le da preferencia a Wald en el crédito porque la investigación de Turing no salió a la luz hasta los años 80 por ser secreto de Estado y no tuvo, por tanto, repercusión en el mundo académico y científico, ni desarrollo posterior… porque no se conocía, vaya.]
A la hora de establecer ese programa de control de calidad de las municiones, estos cuatro econometristas, dirigidos por Wald, se encontraron con una serie de problemas que dificultaban su labor.
A saber… las técnicas simples hasta entonces utilizadas en estadística no se acomodaban a lo que estos señores necesitaban. Estaban en mitad de una guerra y no se podía perder mucho tiempo ni recursos en realizar un control de calidad de un “producto” como las municiones para las que comprobar su calidad implicaba… dispararlas.
No había otra forma de comprobarlas: había que destruirlas.
Menudo plan, ¿eh? Una tarea “dificililla” la que le encargaron a estos señores…
Vosotros, lectores, os estaréis preguntando seguramente… ¿y cómo narices se puede evitar eso?
No se puede evitar el tener que disparar municiones para comprobar su calidad, pero Wald y sus compañeros (especialmente Wald, que fue quien llevó el peso de la investigación) lograron demostrar que no hacía falta examinar (dispararlos, en este caso) tantos “productos de una producción” como en un muestreo simple para comprobar la calidad.
Abraham Wald diseñó a partir de conceptos como “la ruina del jugador” y el control de calidad, el Test Secuencial de Razón de Probabilidad (TSRP), que es la base del muestreo secuencial.
.
1.5. El concepto de muestreo secuencial.
Este modelo pretende determinar la cualidad de un lote de productos mediante un mínimo muestreo (y que aún así produzca resultados fidedignos).
La idea es hacer un muestreo del lote de manera secuencial (artículo a artículo, o grupo de artículos a grupo de artículos) hasta que se pueda tomar la decisión de si el lote se ajusta a nuestras especificaciones o si debe ser rechazado.
Recordemos que hasta principios del siglo XX el análisis se centraba en torno a un solo examen de los datos, y las probabilidades se estimaban en torno a una sola evaluación de los datos.
Pues ahora, con el método secuencial, en vez de definir un solo tamaño de muestreo, se dibujan un par de líneas (bordes estadísticos), una para decidir el rechazo de la hipótesis nula (esto es, se acepta nuestra hipótesis, por ejemplo, que el lote es adecuado) y la otra, para aceptarla (se acepta la hipótesis nula, esto es, se acepta que falla la hipótesis alternativa que planteamos o lo que es lo mismo, se rechaza el lote). Los datos se obtienen después secuencialmente (se examinan cuáles son defectuosos), y se grafican (se apuntan ordenadamente) comparándolos con esos mismos bordes: en el eje de abscisas vamos apuntando qué resultado (n) nos da cada muestra, si aceptable o no; y en el de ordenadas apuntamos el “número” de la medida (producto examinado número 1, número 2, número 3…), cruzamos las dos y comparamos el punto de cruce con los bordes. Tras cada comparación, se pueden tomar tres decisiones:
–Detener el proceso de muestreo y rechazar la hipótesis nula (esto es, se acepta la hipótesis que planteamos como alternativa a “no va a ser”) cuando nuestra comparación “choca” con la línea de rechazo del lote.
–Detener el proceso y aceptar la hipótesis alternativa a la nula (cuando nuestra comparación “choca” con la línea de aceptación del lote): se acepta como válida la hipótesis que planteamos en su momento como alternativa a la nula o “no va a ser”.
–Continuar con el muestreo (todavía no hemos chocado” con ninguno de los dos bordes).
Vamos a verlo con un dibujito (figura 1).
.
El éxito de esta metodología reduce enormemente el coste e incrementa la fiabilidad de los suministros. Tanto éxito tuvo este método, que se declaró clasificado hasta terminada la guerra, para que las potencias del Eje no pudieran copiarla y aprovecharse de ella.
Ahora veremos más adelante, en los ejemplos, cómo se calculan esas líneas de rechazo y cómo se hace con “numeritos”, tranquilos. De momento, comprended el concepto.
Eso que hemos visto es el concepto en su base más simple. Pero quiero que sepáis que esto ha evolucionado tremendamente desde que Wald se inventó el concepto en 1943 y existen muchas pero que muchas variantes de este método, ya que cada medición tiene una serie de circunstancias que obligan al “medidor”, al estadístico, a modificarlo para que se adapte a lo que necesita (unos ponen la línea de rechazo de la hipótesis nula abajo, otros cambian el eje de ordenadas para situar los objetos defectuosos y las abscisas para situar el número de objetos medidos, etc. ).
.
Por ejemplo, en los modelos más tempranos, como el mismísimo STRP (siglas en inglés) de Wald, las líneas de borde salen paralelas según los cálculos (figura 2), y el muestreo puede seguir y seguir hasta que se choque con una de las líneas… o hasta que se termine de examinar TODA la producción.
En la mayoría de los modelos actuales, las líneas convergen, como en la figura 1, e incluso se establece una tercera línea de parada en otros. En estos casos se necesita saber de antemano el número de muestra estadística que se requiere, obviamente.
.
Es más, en la mayoría de los tests actuales, el análisis secuencial se aplica “de manera múltiple” donde el grupo 1 es mayor que el grupo 2. Si es necesario, el análisis secuencial puede producir tests para una segunda cola (para estimar las diferencias entre ambos), que es el caso del patrón básico de los dos triángulos que se sobreponen como en la figura 3.
Ese modelo sirve para comparar entre distintos grupos de muestra, y poder ver con más claridad si se repiten los mismos patrones en uno y en otro.
Bueno, no os quiebro más la cabeza, que lo que me interesa es que os quede claro el concepto.
[Nota para estadísticos: Por favor, tened en cuenta que el muestreo secuencial tiene un coste estadístico, en términos de poder estadístico (esto es, la probabilidad de que el test rechace la hipótesis nula cuando la hipótesis nula sea falsa) reducido. En la fase inicial, para el mismo tamaño de efecto (medida de la fuerza de la relación entre dos variables en una población estadística), el tamaño de muestra máximo calculado para el análisis secuencial es mayor que el de un modelo de tamaño de muestra fijo. Sin embargo, el tamaño de efecto en los datos recogidos es a menudo mucho mayor o mucho menor que el que se preveía durante la fase inicial. Cuando esto sucede, el análisis secuencial permite obtener una conclusión más temprana y poder así rechazar o aceptar la hipótesis nula, terminando el proceso. Así que el tamaño de muestra utilizado a la hora de la verdad es a menudo menor de lo planeado, y menor de lo requerido por un modelo de tamaño de muestra fijo.]
Bueno, sigamos expandiendo el concepto de Wald, que es el más básico.
El muestreo secuencial originalmente fue desarrollado por Wald en 1943 y últimamente por John Whitehead en 1983. Es por eso que al primero se le denomina el tradicional (sin límite, hasta que se agote el lote) y al segundo, como lo denominó Whitehead, Triangular (con punto de parada).
Vamos a ver el tradicional, que es el que nos interesa por ser el que dio origen a todos los demás, el que comenzó la revolución estadística secuencial.
.
2. Muestreo Secuencial Tradicional.
En un muestreo secuencial, se toma una secuencia de muestras del lote (fig. 4) y se deja que el número de muestras lo determinen por completo los resultados del proceso de muestreo. En teoría, el muestreo secuencial puede continuar de manera indefinida, hasta que se hace la inspección del 100% del lote. Si el tamaño de la muestra seleccionado en cada etapa es mayor que uno, al proceso suele llamársele muestreo secuencial grupal. Si el tamaño de la muestra inspeccionado en cada etapa es uno (vamos examinando de uno en uno), al procedimiento suele llamársele muestreo secuencial artículo por artículo.
El muestreo secuencial artículo por artículo se basa en la razón de prueba de la probabilidad secuencial desarrollado por Wald. Como vemos en la gráfica de la figura 4, se grafica en la carta el número observado acumulado (línea verde) de los artículos defectuosos. Para cada punto, la abscisa (la línea “tumbada” del eje) es el número total de artículos seleccionados hasta ese momento, y la ordenada (la línea del eje que está “de pie”) es el número total de artículos defectuosos observados. Si los puntos graficados se mantienen dentro de los límites de las líneas de aceptación y rechazo, debe analizarse otra muestra. Tan pronto como un punto se localice en o encima de la línea superior, el lote se rechaza. Cuando un punto muestra se localiza en o abajo de la línea inferior, el lote se acepta.
El muestreo secuencial elemento por elemento se basa fundamentalmente en la idea de “recorrido aleatorio”. Esto es, analizamos cómo se van comportando las acumulaciones de fallos y aciertos de una muestra aleatoria.
El método secuencial elemento por elemento de Wald comienza con P1, P2, alfa y beta determinados, y con eso se fija un método de anotación y unos límites de aceptación y rechazo que satisfagan estos requerimientos.
Es decir, las líneas de aceptación y rechazo salen de esos cuatro datos, los cuales iremos viendo poco a poco.
Wald adopta la “relación de probabilidad secuencial” como buen método para llevar la cuenta. Ésta es la relación de probabilidad de obtener el resultado acumulado de la muestra, si el material fuese de calidad p2 a la probabilidad de obtener estos resultados si el material fuese de calidad P1.
Si el resultado en cualquier momento resulta mayor que una cifra determinada negociada entre cliente y proveedor y condicionada por las probabilidades de error alfa y beta (ahora los vemos), el lote es rechazado. Si cae debajo de una segunda cifra igualmente condicionada por alfa y beta, se acepta el lote.
Observad que, de acuerdo con este procedimiento, los resultados elevados llevan al rechazo y los bajos a la aceptación. Wald demostró que el sistema de anotación puede reducirse a un sistema mucho más sencillo, que consiste simplemente en anotar el número acumulado de elementos defectuosos en un diagrama, o bien anotar el mismo en una hoja de inspección.
El procedimiento de Wald es especialmente relevante si los datos se recogen secuencialmente. Por ejemplo, en el caso de los fallos producidos en una línea de producción o en el rendimiento de una actividad. El análisis secuencial es diferente de los tests clásicos de comprobación de hipótesis, donde el número de casos examinados o recogidos se fija al comienzo del experimento (p. e., vamos a examinar 80 de 100). En esos tests clásicos, la recolección de datos se ejecuta sin análisis y sin considerarlos, no como en el método secuencial. En los tests clásicos, después de que se han recogido los datos es cuando se toman las conclusiones.
Sin embargo, en el análisis secuencial, todo caso es analizado directamente después de haber sido recogido, y los datos hasta el momento tomados, se comparan con unos valores/umbrales (techo o suelo), con lo que se incorpora la nueva información recibida directamente del recién recolectado caso.
¿Y por qué nos importa eso?
Porque esta aproximación secuencial permite establecer conclusiones durante la recolección de datos, y se puede obtener una conclusión final mucho antes que con los tests clásicos, con lo cual se ahorra dinero, tiempo… e incluso vidas humanas. Porque el muestreo secuencial se puede utilizar y, de hecho, se utiliza muchísimo, en el control de calidad de medicamentos, experimentación y procedimientos médicos. Con lo cual también se ahorra mucho sufrimiento a los pacientes.
Obviamente, la dificultad de este método estriba en que tenemos que ser nosotros los que establezcamos los límites sobre y bajo los cuales aceptamos o no los lotes (o la hipótesis nula)… y tenemos que hacerlo de forma objetiva… o lo más objetiva posible.
Y precisa.
Normalmente, los valores de P1 y P2 se negocian. Otras veces… los impone el cliente (“el cliente siempre tiene la razón”). Otras veces lo decide la normativa legal… y otras veces, lo decide la proporción entre las variables que estamos estudiando en un experimento. Eso lo veremos en el último ejemplo, el más desarrollado que os voy a exponer.
Bueno, pues esos valores hay que decidirlos antes de empezar, así que es obvio que tengo que decidir qué es defectuoso para mí… y qué no. En el caso de Wald, lo correcto para el Ministerio de Guerra era en primer lugar que la munición explotara contra el blanco enemigo, y lo “defectuoso” era que NO explotara sobre el blanco enemigo. Se supone que la misión de un obús es explotar cuando impacta contra un blanco, ¿no?
[Nota: se miden los fallos en las explosiones, porque queremos medir la calidad de la munición en sí, no si el cañón es defectuoso o si el artillero está borracho y dispara el obús en dirección al suelo. Otros estudios se encargarán de estudiar la calidad de la puntería de los artilleros y otros sobre la calidad de los cañones, no éste de nuestro ejemplo. Como véis, tenemos que ser muy precisos con respecto a qué queremos medir.]
En segundo lugar, uno tiene que decidir dar un porcentaje positivo sobre el número total que considere aceptable… y otro inaceptable. Es decir, sabiendo que defectuoso es que no explote al impactar… ¿cuántos explotan al impactar de entre todos los que disparo?
Ahí ya intervienen las consideraciones técnicas y necesidades de las partes involucradas. Algún general podrá permitirse que su pedido de municiones antiaéreas tenga entre un 60-70% de municiones que exploten al impactar contra un enemigo, porque su artillería está situada en una zona de vigilancia donde no pasan o pasan muy pocos aviones enemigos… pero otro general más estricto, no admitirá ningún pedido que esté por debajo del 95%. Puede pasar también al revés, que el general por donde pasan pocos aviones estime que en el poco pedido que le llegue de municiones éstas deben explotar el mayor número de veces y un general muy, muy apurado porque está directamente en el frente admitirá casi cualquier lote con tal de que le envíen lo que sea para poder dispararles a los cabrones de la Luftwaffe (total, lo va a disparar todo, explote o no…).
No os quiero marear mucho, simplemente os quiero reseñar que la costumbre en términos de control de calidad de producción y fabricación es establecer como mínimo, un 80% (0,8) de correctos (recomendado por Wald, Armitage, Brand, etc.). Muchas veces os encontraréis con valores de 0,9. Eso se ha establecido mediante experiencia y cálculos muuuuuy lentos y muuuuuy complicados por parte de economistas y estadísticos… pero, lo cierto es que estoy de acuerdo: menos de un 80% de productos de calidad aceptables en un lote es tontería. Yo no me lo quedaría, al menos, pero os recuerdo que cada cliente o receptor de la mercancía tiene sus necesidades y establecen el valor de manera acorde.
Tened en cuenta que es prácticamente imposible obtener un lote con el 100% de aciertos. En nuestro caso se aceptarían lotes cuyos muestreos indicaran un 80% (umbral inferior) o más de ese porcentaje (más de un 100% no iréis a pedir, ¿no? Je, je, je…).
Así pues, basándonos en la figura 4, de una producción-pedido de, por ejemplo, un millón de obuses, probamos (disparamos) una muestra (ya hablaremos de cuál sería una muestra suficientemente representativa del total) de 1000 obuses. Conforme los vamos disparando, vamos subiendo en uno si ese obús no explota… es decir, si explota, no lo acumulamos, la línea de puntos de cruce se queda lisa, pero si no explota, subimos en uno la línea. Si, después de probar 1000 obuses nos encontramos con que se han acumulado 500 sin explotar y que eso ha rebasado el techo de rechazo, mandamos todo el pedido de vuelta a la fábrica con una carta añadida cagándonos en los ancestros del gerente de la factoría que ha fabricado semejante chapuza de municiones. Ya sabemos que ALGO pasa con la producción de esa fábrica… y allá que irán (muy enfadados) los auditores a ver qué está pasando.
Si, por el contrario la línea se queda lisa porque no tenemos que ir apuntando obuses que no explotan, lo más seguro es que acabemos “chocando” con la línea de aceptación. En ese caso, se acepta el pedido y se envía rápidamente para acabar con los aviones nazis… porque el muestreo ha revelado que el lote es suficientemente bueno para nuestras especificaciones. Más correctamente habría que decir que es lo suficientemente bueno para nosotros y que no es lo suficientemente malo como para permitirnos el rechazarlo (con los costes de tiempo, dinero, etc., que conllevaría el rechazarlo), ¿lo entendéis?
Bueno, eso se vuelve un poco más complejo, ya que no nos basta con saber qué es aceptable y qué no para nosotros… sino que tenemos que establecer dos valores adicionales: el poder estadístico, y el nivel alfa.
“¿Qué cojones es eso?”, se preguntarán ustedes.
.
–Alfa (α) es la posibilidad de que quien esté realizando el estudio termine el muestreo porque crea que ha descubierto una diferencia. La costumbre y los estadísticos han establecido que la mejor proporción para no alargar el estudio sin perder fiabilidad es del 5%, que significa que un 5% de las veces (una de veinte) de las experimentaciones habrían sido detenidas incorrectamente por el que realiza la medición… porque el dato le señalaba que había “algo”, cuando en realidad, no lo había. Es un error estadístico de Tipo I y es el que indica el nivel de significancia estadística (relación con el azar o la casualidad) de un test. Es el error de la excesiva credulidad.
-El poder estadístico (β) es la posibilidad de que, si existe una diferencia con la realidad (por ejemplo, entre la muestra y la producción o lote total), el que realiza la medición debería poder observar esa diferencia en los datos suministrados. Es un error estadístico de Tipo II y es el que indica el nivel de sensibilidad (lo bien que detecta nuestro estimador los casos positivos de la variable asociada) y especificidad de un test (lo bien que detecta nuestro estimador los casos negativos de la variable asociada). Es el error del excesivo escepticismo.
Estos dos medidores sirven, como podéis ver, para otorgar “imparcialidad” o “eliminar riesgos y errores naturales” de todo proceso de investigación. Estos medidores, al ser introducidos en las cuentas para calcular los bordes de aceptación y rechazo, sirven para «afinar la puntería» y para “obligarte” a prolongar el estudio (a seguir contando, examinando y anotando) lo suficiente como para eliminar el número de errores que normalmente cometerás o los “desvíos” que normalmente te encontrarás a la hora de hacer un muestreo secuencial de éstos. Seguro que si por nosotros fuera, parábamos de comprobar a los diez artículos de entre un millón. Con estos medidores, te obligan a contar más de los estrictamente necesarios… lo suficientemente más como para, sin tener que alargar mucho el muestreo, te “quiten” las posibilidades más calculadas de que «la cagues», ¿entendéis?
No os voy a quebrar la cabeza explicándoos cuáles deberían ser los valores de α y β porque eso requeriría un artículo dedicado a ello en exclusiva. Dependen del caso en cuestión y de si el medidor está más preocupado en obtener una fiabilidad elevada aunque no le importe alargar el muestreo o viceversa.
Normalmente os encontraréis con valores de 5% (0.05), 10% e incluso 80%, que es el estándar en controles de calidad (0.8). Esos son los valores más ampliamente aceptados (aunque se pueden cambiar al gusto, claro).
.
3. ¿Cómo se calcula?
3.1. Los fundamentos teóricos de la formulación matemática del muestreo secuencial.
Esto no es para el que no sepa de matemáticas, lo incluyo para que los que sepan de formulación vean de dónde se sacó Wald el razonamiento para crear el muestreo secuencial (no se lo sacó de la manga, vaya). El que lo desee, que pase directamente a los ejemplos para enterarse mejor.
Siendo X1,X2, . . . variables aleatorias con una distribución común P, la prueba consiste en comprobar la hipótesis nula H : P = P0 contra K : P = P1, y el SPRT se detendrá en el estadio de muestreo:
N = inf{n ≥ 1 : Rn ≥ A ó Rn ≤ B}
Donde:
A > 1 > B > 0
…son límites de parada y donde:
…es la function de verosimilitud, fi la densidad de Pi con respecto a alguna medida común dominante ν, i = 0, 1.
Cuando se produce la detención, H ó K se aceptan según si:
RN ≤ B ó RN ≥ A
La elección entre A y B viene dictada por las probabilidades de error:
α = P0{RN ≥ A}
y
β = P1{RN ≤ B}
Esta simple prueba logró que Wald demostrara que la solución óptima de testar H contra K, en el sentido en que el the SPRT minimiza tanto E0(T) como E1(T) entre todos los tests cuyo tamaño de muestra T tenga una expectación finita tanto bajo H como K , y cuyas probabilidades de error satisfagan:
P0{Rechazar H} ≤ α y P1{Rechazar K} ≤ β
.
Os dejo con las obras originales de la investigación del método secuencial… y abandonamos el chino para hablar en castellano… utilizando los ejemplos.
Sequential Analysis (“Análisis secuencial”) de Abraham Wald (1947). Ed. John Wiley and Son, Inc, New York.
Sequential Tests of Statistical Hypotheses (“Pruebas secuenciales de hipótesis estadísticas”) en los Annals of Mathematical Statistics (“Anales de estadística matemática”) 16 (2): 117–186. Wald, Abraham (junio, 1945).
Sequential analysis: some classical problems and new challenges. (“Análisis secuencial: alguna problemas clásicos y nuevos desafíos”). Tze Leung Lai (Universidad de Stanford).
.
3.2. Cómo se calcula a la antigua un muestreo secuencial.
Repitamos lo dicho anteriormente, pero enterándonos… En la actualidad existen numerosos programas informáticos para calcularlo, pero os voy a poner dos ejemplos para que podáis entender mejor la aplicación práctica del concepto y que veáis que no me limito a decir lo que es sin saber hacerlo yo por mí mismo.
.
3.2.1. Ejemplo de muestreo secuencial (I). Muestreo artículo a artículo.
Bueno, pues ya vimos que los planes de muestreo secuencial pueden ser artículo o artículo, o grupales. Artículo a artículo: se inspeccionan unidades 1 a 1 y la decisión depende de los resultados obtenidos en cada unidad. También se pueden utilizar tamaños de muestra mayores que 1 y en este caso se define como muestreo secuencial por grupos. Vamos a ver el primer caso, artículo a artículo.
Las líneas límite de la gráfica (los bordes) son funciones de los parámetros α, β, p1 y p2… y se calculan utilizando las siguientes fórmulas:
El número acumulado de unidades defectuosas se grafica tomando como abscisa el número total de unidades inspeccionadas hasta ese momento y en las ordenadas el número total de unidades defectuosas. Si el punto cae entre las líneas límites, se toma otra muestra. En el momento en que un punto cae fuera de los límites se acepta el lote o se rechaza según si cae en o por debajo de la línea de aceptación o en o por encima de la línea de rechazo. Teóricamente esto podría continuar hasta que se inspeccionara el 100% de las muestras, pero como regla estos planes se detienen cuando el número de unidades inspeccionadas alcanza tres veces el número de unidades que se inspeccionarían con una inspección simple.
Por ejemplo, se desea un plan de muestreo secuencial para un pedido de destornilladores en el cual la condición para aceptarlos es que puedan atornillar un tornillo (acumula 0 en la gráfica) y la condición para rechazar como defectuoso un destornillador es que le sea imposible hacerlo (acumula +1). Aparte, proveedor y cliente (pongamos que somos nosotros el cliente) negocian que el límite de aceptable de defectuosos en el lote es de un 1% (0.01) y el de inaceptable es el de un 9% (0.09). Es decir, que si nos encontramos con que el lote tiene un 1% de productos defectuosos nos lo quedamos seguro (porque el proveedor dice que no puede garantizar un 100% de aciertos en la fabricación, y que con un 99% no piensa admitir la devolución para nada, que es una producción más que exitosa)… y de ahí nosotros aguantaremos hasta un 9% a partir de lo cual mandamos el pedido de vuelta porque consideramos que con tanto destornillador defectuoso no le sacamos beneficio.
.
Los errores que estamos dispuestos a admitir son α = 5% = 0.05 y β = 10% = 0.10
Así pues, p1 = 0.01, α = 0.05, p2 = 0.09, β = 0.10.
Las líneas de aceptación y rechazo son, por tanto (sustituid los valores en las fórmulas):
xacept = -1.046 + 0.034n
xrech = 1.343 + 0.034n
Esto nos permite también determinar después de cuántas unidades inspeccionadas tendremos la primera oportunidad de aceptar el lote o de rechazarlo (se redondea a números enteros)… si no hay problemas y si no hay ningún defectuoso hasta entonces:
xacept = -1.046 + 0.034n ≥ 0 n = 30.76 = 31 ; (que sale de 1046 / 0.034).
¿Para qué nos sirve eso? Para saber cuántos destornilladores nos tienen que llegar mínimo para empezar a hacer el control de calidad.
.
[Nota 1: los redondeos os darán problemas, yo he optado por cortar de raíz. He empleado un ejercicio de mi manual de estadística que, curiosamente, también se puede encontrar por internet, expandiéndolo y aclarándolo por mi cuenta, pero el hijo de perra que se lo inventó hizo los redondeos como le salió de los huevos, yo he empleado tres decimales. Como os podéis fijar en la gráfica de la figura 5, es un ejemplo muy radical, supongo que lo pusieron así para hacerlo ver más claro.
Nota 2: un comentario a estas cifras de α y β… por lo que parece estamos siendo bastantes estrictos con el azar pero bastante laxos con nuestro escepticismo. Quizás sea porque esperamos que no haya muchos errores, y no queremos alargar innecesariamente el muestreo.
Nota 3: cuidado con el cambio de signo en h1… que es ne-ga-ti-vo, que más de uno os lo saltaréis, seguro.]
Nota 4: os habréis fijado que NO nos dicen cuántos destornilladores tenemos que contar en total. En este ejemplo nos limitamos a examinar destornilladores hasta que lleguemos a una de las dos líneas, y ya está.]
.
Bueno, pues empezamos a darle valores a ambas fórmulas resultantes para obtener los puntos desde los que dibujar las dos líneas:
Con xrech = 1.343 + 0.034n, que es la línea de rechazo, vamos dando valores de producto 1, producto 2 , producto 3, etc.
Para n = 1, nos da que: 1.343 + 0.034 = 1.377
Ése es el primer punto de la línea de rechazo. ¿De dónde sale 0.034? De multiplicar n = 1 por 0.034;
Para n = 2, nos da que: 1.343 + 0.068 = 1.411
Ése es el segundo punto de la línea de rechazo.¿De dónde sale 0.068? De multiplicar n = 2 por 0.034;
Para n = 3, nos da que 1.343 + 0.102 = 1.445
Ése es el tercer punto de la línea de rechazo.¿De dónde sale 0.102? De multiplicar n = 3 por 0.034;
Y así sucesivamente para obtener los puntos com los que dibujar la línea de rechazo (la de color rojo).
Con xacept = -1.046 + 0.034n, que es la línea de aceptación, también vamos dándole a n valores según vamos aumentando los artículos de uno en uno: producto 1, producto 2, producto 3, etc.
Para n = 1, nos da que: -1.046 + 0.034 = -1.012
Ése es el primer punto de la línea de rechazo. ¿De dónde sale 0.034? De multiplicar n = 1 por 0.034;
Para n = 2, nos da que: -1.046 + 0.068 = -0.978
Ése es el segundo punto de la línea de rechazo.¿De dónde sale 0.068? De multiplicar n = 2 por 0.034;
Para n = 3, nos da que -1.046 + 0.102 = -0.944
Ése es el tercer punto de la línea de rechazo.¿De dónde sale 0.102? De multiplicar n = 3 por 0.034;
Y así sucesivamente para obtener los puntos com los que dibujar la línea de aceptación (la de color azul).
.
Ea, ya tenemos las líneas, ¿no? Pues ahora empezamos a examinar destornilladores y nos encontramos con que todos pueden atornillar sin problemas un tornillo, excepto el nº 22. Es decir, apuntamos en la gráfica que hasta el destornillador 22, ninguno aumenta el número de errores: todos permanecen en la línea de 0, la de abscisas… PERO al llegar al 22, éste no logra atornillar el tornillo ni para la madre que lo parió, o sea, que es defectuoso… así que anotamos 1 en la gráfica para el destornillador 22, y la línea (la verde) se eleva, por tanto, en un punto, acercándose a la línea roja de rechazo. Después de eso, no nos encontramos con ninguno más defectuoso, con lo que no vuelve a sumar 1, y la línea se queda estable, y seguimos y seguimos anotando destornilladores “buenos” hasta que cruzamos la línea de aceptación (azul). Colour-coded for your convenience, que dirían las personas “modernas”.
El lote es aceptable según nuestras condiciones y según nuestras premisas de error. Efectivamente, no había muchos defectuosos.
.
El análisis secuencial es bastante rígido porque requiere de un diseño bien definido y estrictamente ejecutado y es por ello que no todos los estadísticos lo emplean porque suelen buscar más “personalización” en los modelos de muestreo, pero lo cierto es que constituye una herramienta muy poderosa en auditoría y control de calidad. Pero que no sólo se utilizan ahí, ¿eh? Es una herramienta tan buena que numerosas especialidades la han adoptado. En Medicina, por ejemplo, se la utiliza muchísimo, porque permite un análisis rápido y fiable de casos relativamente raros con muestras que han de ser necesariamente pequeñas, como la comprobación de administración de medicamentos, tests para la comprobar la efectividad de nuevos medicamentos, las muertes en un hospital)… No podemos estar comprobando con miles de pacientes (que, normalmente no existen tantos o se tienen que ir pasado un tiempo) y haciéndoles pasar dolores y “fatiguitas” a un montón de ellos para comprobar un medicamento. Necesitamos probarlo con el menor número posible de ellos y sin que así perdamos una fiabilidad que, por usar pocos, no haga fallar a la hora de decidir si el medicamento es bueno o malo.
Vamos a ver en mucha profundidad, uno de estos casos aplicados al mundo de la medicina, para que veáis que las invenciones de la Economía también son aplicables a otras áreas de estudio, y que no sólo es al revés, que la Economía se apodera de todo lo que ofrecen otras áreas de estudio.
.
3.2.2. Ejemplo de muestreo secuencial grupal (II), aplicado a la investigación médica.
Este ejemplo lo he sacado de un ejercicio de la facultad de Psicología de la Universidad Autónoma de México (la UAM). Lo explico, lo desarrollo y lo expando para vosotros, panda de vag… digo queridísimos lectores.
En principio, como ya hemos visto, la prueba estadística de análisis secuencial fue un procedimiento aplicable en fábricas, para un mejor control de calidad.
De acuerdo con este principio, se planteaba de la manera siguiente en un control de calidad:
P1 = proporciones de calidad satisfactoria.
α = probabilidad de rechazar un lote de calidad aceptable.
P2 = proporción de calidad inaceptable.
β = probabilidad de aceptar un lote de calidad inaceptable.
En Medicina, existen problemas que se pueden plantear de manera similar (en términos de un estricto sentido matemático), ya que las formas más tradicionales y sencillas de observación no se ajustan a esta disciplina, debido a que implican cambios muy lentos y el número de datos disponibles está en razón de la esperanza de vida del observador, más que de su interés o capacidad para trabajar en esta tarea. Algunas enfermedades son raras y el mejor método para adquirir los conocimientos y la capacidad necesarios a fin de ayudar a las víctimas y pacientes consiste en utilizar una técnica acumulativa en el análisis de las observaciones… en vez de esperar a juntar a un número de enfermos que se nos pueden morir en cualquier momento (no nos van a esperar a que recolectemos los datos) y que seguramente estarán sufriendo mucho mientras esperan a que examinemos un número aceptable de ellos.
Este modelo estadístico de muestreo secuencial se ajusta adecuadamente a muchas investigaciones de índole médica. El ejemplo más claro es aquel en el que el investigador, una vez que recolecta una muestra de un tamaño suficiente, con respecto al fenómeno por el cual está interesado, sólo necesita reunir unos pocos casos. La magnitud de esta muestra se debió al azar.
El planteamiento bajo el aspecto de la investigación médica se realiza de la forma siguiente:
Pa = proporción de calidad inaceptable para Ha (la hipótesis alternativa a que no suceda, que suele ser la que planteamos)
α = probabilidad de rechazar la hipótesis de nulidad (Ho).
Po = proporción de calidad inaceptable para Ho (hipótesis nula, esto es, que NO es lo que nosotros planteamos).
β = probabilidad de rechazar la hipótesis alternativa (Ha). Recordemos… “alternativa” a que NO suceda, que es la nula.
Pasos:
- Obtener las frecuencias del fenómeno por estudiar (Pa y Po) e imponer los valores de la probabilidad.
- Calcular las pendientes (las líneas de bordes, vaya) para delimitar las zonas de aceptación y rechazo de las hipótesis (Ha y Ho).
- Graficar las pendientes de regresión de las zonas limitadas y análisis de la casuística en función de la frecuencia acumulada en la gráfica.
- Aplicar el formulario, que expongo más abajo para calcular los valores del tamaño de la muestra para cada valor de la escala de probabilidad (0, Po, Po + Pa / 2, Pa y 1).
- Decidir si se acepta o rechaza la hipótesis o si se continúa la observación, respecto al tamaño de la muestra calculada.
.
Ejemplo:
Un investigador está interesado en demostrar que la administración por vía oral de grandes volúmenes de líquido condiciona un factor de morbilidad y letalidad en el periodo perinatal (el período perinatal comienza a las 22 semanas completas (154 días) de gestación y termina siete días completos después del parto) en 364 recién nacidos (no va a tratarlos a todos). Vamos, que administrar mucho líquido a mujeres embarazadas y bebés recién nacidos puede conllevar un aumento de la mortalidad de los bebés… no se sabe pero hay que demostrarlo.
De esta forma, el investigador elige dos grupos al azar (muy importante), a uno de los cuales le administra pequeños volúmenes de líquidos y al otro un gran volumen. Entre los diversos aspectos analizados, existe un grupo de 24 bebés que manifestaron permeabilidad del conducto arterioso (PCA), y de esos 24, 13 mostraron insuficiencia cardiaca y 11 no la tuvieron. El investigador los relaciona en función de los ingresos de líquidos… y decide estudiar a ver si eso está relacionado de verdad o no. Y los va a estudiar por parejas (12 con ingestión alta de líquidos, y 12 con baja ingestión de líquidos).
El modelo experimental tiene dos muestras independientes.
.
Planteamiento de la hipótesis.
- Hipótesis alternativa (Ha). La muestra obtenida aleatoriamente de un total de 364 niños nacidos revela una alta morbilidad de insuficiencia cardiaca en la permeabilidad del conducto arterioso, debida a un alto ingreso de líquidos por vía oral.
- Hipótesis nula (Ho). Con el tamaño de la muestra obtenida aleatoriamente, los cambios observados son producto del azar. No hay diferencias entre ambos grupos por la ingestión de líquidos por vía oral. Se descarta la relación.
.
Nivel de significación.
La frecuencia acumulada de casos de insuficiencia cardiaca y alto volumen de líquidos alcanzó una zona de aceptación, donde α = 0.05.
.
Zona de rechazo.
La frecuencia acumulada de casos de insuficiencia cardiaca y bajo volumen de líquidos alcanzó la zona de aceptación de Ho, donde β = 0.05.
.
Observación en parejas de niños recién nacidos. Esto sería un ejemplo de tabla para que el investigador fuera anotando… lo que a nosotros nos interesa son las proporciones.
.
Aplicación de la prueba estadística.
Pa = proporción de bebés sin insuficiencia cardiaca y con alto volumen de líquidos = 1/12 = 0.08 (es decir, de aquellos a los que se administró mucho líquido, 12, sólo uno NO mostró insuficiencia cardiaca).
α = 0.05
Po = proporción de insuficiencia cardiaca y baja ingestión de líquidos = 2/12 = 0.17 (es decir, de aquellos que tomaron poco líquido, 12, sólo dos mostraron insuficiencia cardíaca).
β = 0.05
.
Fórmula:
Las líneas o pendientes por calcular se basan en la ecuación de la línea recta que sigue:
Y = bX + a
[Nota: como veréis, aquí la fórmula se resuelve de modo un poco distinto porque estamos tratando grupos, no artículo a artículo, como en el anterior ejemplo.]
Donde:
Y = valores del eje de las ordenadas.
a = punto de intersección de la pendiente en el eje de las ordenadas.
b = incremento de Y cuando aumenta X.
X = valores del eje de las abscisas.
.
Cálculo de las pendientes.
Al sustituir las literales de la ecuación de la línea recta, se construyen dos ecuaciones de las pendientes:
De las dos fórmulas anteriores, se simplifica y queda:
De acuerdo con la ecuación anterior, se calculan los límites de los errores a y b, es decir, se delimitan las zonas de aceptación y rechazo de la hipótesis, se analiza cada observación del investigador, y luego se grafica en frecuencias acumuladas de valores absolutos.
En función de las ecuaciones calculadas, queda como sigue:
Y e Y’ = 0.1366X ± 3.908
En seguida se calculan dos puntos de la recta, en el sentido de qué frecuencia se espera cuando la población total es cero y cuál otra con un valor diferente de cero.
Y = 0.1366 (0) + 3.908 = 3.908
Y’ = 0.1366 (0) – 3.908 = 3.908
Por ejemplo, según el valor X = 5…
Y = 0.1366 (5) + 3.908 = 4.591
Y’ = 0.1366 (5) – 3.908 = 3.225
Los valores de Y corresponden a los límites de la zona de rechazo de Ho y aceptación de Ha, mientras que los correspondientes a Y’ limitan la zona de aceptación de Ho y rechazo de Ha. En la figura se dibujan los puntos correspondientes y se unen con una línea, como se ve en la gráfica siguiente.
Posteriormente se analiza cada caso y se dibujan en puntos de frecuencia acumulada, por ejemplo, en la tabla anterior muestra las observaciones del investigador, y se aprecia que la pareja 1 exhibe insuficiencia cardiaca y un gran volumen de la ingesta, además de estar acorde con la hipótesis alterna. Por lo tanto, se dirige hacia el lado positivo, donde se ubica el error alfa. Las parejas 2, 3, 4, 5 y 6 tienen la misma característica y continúan acumulándose en el lado positivo; en cambio, la pareja 7 no es congruente con Ha, por lo cual no puede acumularse y se mantiene en el mismo nivel. A su vez, las parejas subsecuentes están de acuerdo con Ha y se acumulan.
Límites de las zonas de aceptación y rechazo.
[Nota: en los ejercicios y problemas de estadística os deberían entregar en el enunciado una tabla con los bebés desglosados con y sin insuficiencia cardiaca y con nivel alto y bajo de líquidos… aquí no nos la dan porque es una investigación científica, y el investigador debe anotar los bebés según los vaya examinando.]
Con la frecuencia acumulada, el grupo alcanzó y rebasó la línea límite del error alfa, y la probabilidad de error fue menor que 0.05.
.
Decisión.
El estudio presentado, con el tamaño de la muestra disponible, alcanzó la zona de error alfa mediante la acumulación de sus frecuencias, por lo cual se acepta Ha y se rechaza Ho: hay relación entre ingesta de gran cantidad de líquidos y permeabilidad del conducto arterioso, que puede provocar la muerte.
.
Interpretación.
En el ejemplo se verifica que el tamaño de la muestra de la población estudiada fue suficiente para comprobar la hipótesis de trabajo del investigador. En este sentido, los niños recién nacidos mostraron aumento en la morbilidad y mortalidad por insuficiencia cardiaca, en presencia de permeabilidad del conducto arterioso e ingestión de un gran volumen de líquidos. Gracias a eso, a los niños de la misma cardiopatía se les previno la insuficiencia cardiaca, al restringirles la ingestión de líquidos.
Bajo el supuesto de que la frecuencia acumulada no hubiera alcanzado cualquiera de las zonas y se hubiera mantenido en el área intermedia, se deben aplicar las siguientes fórmulas para determinar los valores promedio del tamaño de la muestra para cada probabilidad. Traducido al castellano: caso de que no hubiéramos llegado a ninguna de las dos líneas y se nos hubieran acabado los pacientes, significaría que tendríamos que seguir con el muestreo… ¿hasta dónde? Hasta donde digan estas fórmulas…
.
Valores de aceptación y rechazo.
Esta tabla muestra los valores promedio del tamaño de la muestra, y se puede observar que cuando la probabilidad es (Pa + Po) / 2 le corresponde la cifra 112. Esto significa que el estudio requiere tal tamaño de muestra y no necesariamente los 364 recién nacidos, con quienes se llevó a cabo el estudio.
Para la probabilidad de Po, el valor promedio de muestra es de 62 niños recién nacidos. De éstos, si 29 no presentan insuficiencia cardiaca con una gran ingestión de líquidos en la existencia de permeabilidad del conducto arterioso, se aceptará tácitamente Ho; en cambio, de un conjunto de 77 recién nacidos, si sólo cuatro o un valor cercano a cuatro presentan la cardiopatía e insuficiencia cardiaca con alta ingestión de líquidos por vía oral, ello será suficiente para aceptar Ha.
Se debe tener en cuenta que los valores promedio de la muestra en relación con cada probabilidad se han calculado en función de las proporciones originales del estudio, es decir, Pa = 0.17 y Po = 0.08.
.
Cálculos.
Utilizando el formulario de la tabla anterior (redondeos hacia abajo, por favor), tenemos que:
Como se puede apreciar, las técnicas disponibles para análisis secuencial requieren algo más que cálculos matemáticos que la mayoría de los procedimientos estadísticos descritos en cualquier libro de estadística. Estas pruebas estadísticas de análisis secuencial permiten no sólo interpretar los resultados de una investigación, sino también saber si el tamaño de la muestra fue suficiente para demostrar las hipótesis.
.
4. Conclusiones.
Como hemos podido comprobar, en vez de “prescribir” un tamaño de muestreo fijo, el análisis secuencial se basa en calcular los bordes que delimitan las decisiones estadísticas. Aunque el tamaño y la forma de estos bordes puedan variar según los diferentes modelos (porque hay que ajustarlos a las circunstancias), se atienen a un patrón básico constante… el que diseñaron Abraham Wald y sus compañeros en 1943 con la intención de crear un programa de control de calidad de producción fiable, más rápido y, a la vez, poco costoso.
Ese modelo, el SPRT, acabó siendo adoptado en numerosísimos campos de la investigación científica, incluida la investigación clínica.
Gracias a la adopción del muestreo secuencial, ya no era necesario obtener un tamaño fijo de muestra en la fase inicial para poder tomar decisiones estadísticas ni examinar los datos después de la recolección de los mismos.
Con el análisis secuencial se obtienen ventajas inmensas como, por ejemplo, descubrir los efectos de los tratamientos médicos mucho antes, con muchísimos menos costes en dinero, tiempo, personal necesario… y ahorrando también muchas veces, vidas y sufrimiento.
¿Así que… la Economía no tiene aportaciones científicas propias, importantes y tremendamente prácticas?
La boca le parto al próximo que me diga eso.
Hasta la próxima, lectores.




















Ibeth
ಠ_ರೃ 2:50 AM, llegué hasta la mitad porque me es imposible entender esto sin tomar apuntes (con esta migraña, no)
«Y = bX + a»
NO SEAS MALVADO CHEMA, ESO QUE HAS HECHO ES CRUEL, TODOS SABEMOS QUE HAY GENTE QUE JAMÁS LO ENTENDERÁ A MENOS QUE LO PONGAS ASÍ:
Y= mx+b
O MI VERSIÓN FAVORITA:
Y-Y0= m(x-x0)
(siendo y0 y x0 constantes) [versión que sólo he encontrado en los libros de cálculo que ya nadie usa, los que no tienen dibujos xD]
[me ha pasado cuando he tenido que explicar matemáticas, a veces la gente cree que los libros son dios]
Dejando el chiste malo de lado, creo que hay dos posibilidades, o nadie lo lee entero, o esto se llenará de preguntas (que me conviene, me encanta eso, en matemáticas III no lo podía hacer sin que el profesor me insultara), por lo que he leído es de los mejores ejemplos que pudiste escoger, pero hay gente muy alérgica a las variables (que no a los números, las letras tienen un peor efecto psicológico), y que decir de los estúpidos conspiranoicos y alternativos.
Maginate, una vez pillé a uno de esos idiotas diciendo que no deberían enseñar muchas matemáticas en la bachillerato, que con algo de álgebra bastaba, que él nunca iba a usar ecuaciones diferenciales (a mi no me enseñaron ecuaciones diferenciales en bachillerato, llegué hasta integrales) que era todo muy inútil y todas las pendejadas que sueltan esos anti-matemáticas. Tal vez no sean tan agradables como sentarse a hablar paja de temas que no manejan, pero lo peor que le puede pasar a una persona sensata es sentirse orgullosa de su «anumerismo», que bien las matemáticas son una fuente infinita de malas notas pero hay que reconocer que pensar matemáticamente es una ventaja, o por lo menos tener algo de habilidad con los números (así sea haciendo cálculos)
No sé si esté loca, pero estudiar matemáticas cambió algo en mi vida. De repente hay problemas que puedes resolver en la mente sin necesitar una calculadora, y no son cosas de científicos locos con batas blancas, son cosas que pasan en tu vida diaria. Hasta me he puesto a especular sobre el volumen de una caja (me he tenido que mudar tres veces xD)
Pero bueno, a todos los que me leen, no es malo abandonar el anumerismo. Hay quienes no tienen tiempo y lo entiendo, pero sinceramente hay unos que no tienen puta excusa. Estudiar matemáticas ejercita la mente, especialmente las más sencillas (sí, las que nos enseñan en bachillerato) , ya luego vienen unas más avanzadas, pero estas la mayoría de las veces simplifican procesos que son demasiado engorrosos con las más sencillas. Un ejemplo clásico son lo que chema ha usado en este artículo: gráficas.
Graficar (hacer una buena gráfica, si me entienden) es un dolor de cabeza haciendo la famosa tablita de valores y más cuando la susodicha toma infinitos valores, para solucionar eso está el cálculo diferencial, hasta puedes hacer un análisis detallado de la gráfica (cortes con los ejes, concavidades, intervalos crecientes y decrecientes, máximos, mínimos) eso es improcedente haciendolo «a mano», a menos que seas un masoquista.
ಠ_ರೃ Si no haganlo para pasar el tiempo, no todo tiene que ser porno y meneame, leñe.
\(^o^)/ Te amo Chema.
(;`д´)ノ Y me debes la respuesta a mi correo electrónico.
( ≖‿≖) cuando me trasnocho me comporto como filósofa drogadicta.
chemazdamundi
¿Cuál correo?
En mi bandeja no hay ningún mensaje tuyo (bueno, éste).
Ahora mismo lo busco.
Jaaaaaaa, ja, ja…
La segunda, la segunda es mucho mejor.
¡Igual que a mí, que sólo llegué a las integrales!
Pero bueno, es que eres la niña con la que más me siento identificado.
Por lo que veo, tú y yo somos de los que, sin ser especialmente hábiles con las matemáticas, comprendemos la importancia inherente de las mismas… y nos esforzamos por aprenderlas, nos resulten fáciles o difíciles. Al final, acabamos dominando los conceptos más básicos aunque no seamos capaces de realizar los cálculos más complejos sin quebrarnos un poco la cabeza y con el libro delante.
Y ya entender el concepto básico es útil de por sí. De hecho, es lo más útil.
Es que de eso se trata este artículo, Ibeth… lo que intento es que se entienda que lo fundamental es COMPRENDER el concepto. De verdad que teniendo la base clara, lo demás es puro esfuerzo. Lo verdaderamente complicado de la invención del muestreo secuencial fue… el llegar a diseñarlo…. NO EL CALCULARLO: ahora lo vemos bastante simple, pero no veas las fatigas que pasaron Wald y los suyos para resolver la papeleta que les endilgó el Ministerio de Guerra.
Parecía imposible atender la petición, y resultó que no. Para que veas que la mayoría de problemas TIENEN solución… con esfuerzo… y ahí es donde intervienen las matemáticas (soluciones obtenidas a través del esfuerzo, intelectual en este caso)..
Eso que dices de que las matemáticas son una fuente infinita de malas notas puede ser cierto (anda que no me he reído con esa frase)… pero es que HAY QUE aprenderlas. No piensa igual una persona que SABE formular o que sabe calcular que una que NO: a una persona que no sabe le cuesta muchísimo más entender la idea de que hay verdades más allá de las creencias personales.. y que puede haber soluciones. Les cuesta entender que existen verdades y que no todo es «mi opinión». Les cuesta entender que la solución muchas veces no es «la culpa es de los de arriba» y que puede que se resuelva con un cálculo. Lo importante no son las notas. Es que SEPAS. Es que APRENDAS… a solucionar. A encontrar soluciones. Te alegrarás el día de mañana. De hecho, es que no considero a una persona completa en su formación si no conoce las matemáticas en (relativa) profundidad. Y si no conoce lo más básico, ni la considero persona… no está preparada para encontrar soluciones a los problemas que encuentre en su vida. Es un peligro para él y para los demás.
El «anumerismo» de muchas personas es una vergüenza. Es estar orgulloso de ser imbécil. Que es en realidad lo que le sucede a muchos epistemofóbicos y conspiranoicos: como reacción a su incompetencia… adoptan el orgullo de ser incompetentes, en vez de esforzarse por dejar de serlo, como deberían y como intentamos los demás. Para ellos, la «mayoría» es la que está equivocada.
Yo fui muchas veces uno de esos masosquistas hasta que pude enterarme, créeme.
Jaaaaaaaaaaaaaaaaaaaaaa, ja, ja, ja…. ¡Ay, qué lindaaaaaaaaaaaaaaaaaa!
Te quiero que no veas.
McManus
Chema, pero qué artículo más interesante el de hoy (aunque no niego que me gustan más las batallitas económicas). Sólo por leerte, uno ya se motiva a superar esa incultura matemática que aún se padece en muchos aspectos, incluso en mi caso. Te comento experiencias propias. Recuerdo a una compañera de clase atreviéndose a decirme, con esas palabras, que «pues entonces, como son finitos, que se repartan a todos por igual hasta que se agotan». Cuando le contesté que no todos necesitan o quieren lo mismo (dando por supuesto que más allá de las necesidades básicas), dijo que no le valía. Todo eso me contestó cuando le trataba de enseñar la noción de escasez en economía. Le trataba de decir que puede haber, efectivamente, recursos abundantes en relación con la población pero no todos los recursos lo son. Y que, por lo tanto, este concepto tiene su sentido si entendemos otra cosa muy poderosa y presente en la moderna ciencia social, las disyuntivas.
He aprendido a razonar en términos de disyuntivas. Por más que lo queramos, siempre habrá un frágil equilibrio y, asimismo, encontraremos que las cosas son más complejas de lo que parece, que no podemos contemplarlo desde sólo un prisma. Por ejemplo, unos precios subvencionados en gran medida suenan demasiado bien en eso de ayudar a la población, hasta que descubres, como es el caso de Cuba, que la producción del azúcar ha descendido brutalmente desde 1959. Y que, por eso también, no existe ni existirá nunca un sistema político con representatividad perfecta. Por eso muchas veces se puede ver a europeos saludar el modelo boliviariano para hasta desear imitarlo, cuando países como Alemania o España superan por mucho a Venezuela, Bolivia o Nicaragua incluso en calidad democrática y tamaño del Estado de Bienestar. Lo que pasa es que uno se cansa de ver cómo persiguen una supuesta pureza ideológica, leyendo muchos textos que aluden a lo emocional e ignorando brutalmente las matemáticas.
Por cierto, si uno tuviera más cultura científica sabría diferenciar entre modelos teóricos y resultados empíricos. Tanto la ley de la gravedad newtoniana como las curvas de la oferta y la demanda son modelos teóricos simples y elegantes que funcionan en muchos casos.
Y, sí, en la vida práctica uno se sorprendería de cuántas cosas se pueden medir y hacerte una idea muy precisa de ello, por mucho que haya visto a humanistas insistir en que hay cosas que son demasiado humanas, que escapan a la medición y todo eso, siendo una promoción descarada de lo trascendental. Efectivamente, hay cosas muy difíciles de medir como el grado de felicidad, pero ya podemos inferir algo de ello viendo relaciones estadísticas como el nivel de ingresos, las sustancias químicas que pueden segregar nuestro cerebro o el tipo de jornadas laborales.
De hecho, las matemáticas de elevada precisión son un argumento demoledor contra las pseudomedicinas que se basan en dosis mesurables al ojo humano. Imaginemos que una medicina necesita dosis muy precisas de ciertos componentes químicos adaptadas a numerosos cuerpos humanos (del mismo modo que las medicinas naturales curan porque se administran dosis que son más o menos adecuadas para ese cuerpo humano, pero es un proceso sujeto a prueba y error). Y que hay bastante precisión en la medicina moderna, apoyada por la estadística, aunque la medicina basada en la genética promete una precisión aún mayor (aunque eso ya lo veremos). Eso le traté de explicar a mi intérprete, homeópata y seguidor de la medicina holística, pero no lo captó muy bien.
Un abrazo.
chemazdamundi
Je, je, je…
Ya verás cómo no se presenta ni UN conspiranoico. Ni un «negacionista de la Economía como ciencia».
Es que me hace MUCHA gracia, no lo puedo evitar: a la hora de hablar de «política económica»… ¡coño, todo el mundo «sabe» y todo el mundo se permite el opinar! Y, por supuesto, conspiranoicos y epistemofóbicos saben más que nadie, POR SUPUESTO. Saben más de Economía que nosotros, lo economistas. Sííí, claro, claro… No sabéis graficar cuatro variables y ya sabéis más de Economía que nosotros, los economistas y matemáticos. Claro, claro…
Ahora… ponles cuatro fórmulas, cálculos logarítmicos y oblígales a graficar… y verás cómo huyen como las ratas.
Bueno, a lo mejor se presentan… pero se les va a ver el pelo enseguida que no tienen NI PUTA IDEA. Que es otra de las razones por las que he escrito el artículo, no te creas. Para mostrar y demostrar al «público» que la Economía es muuuuuuuuuuuuuuuuuuuuucho más técnica de lo que se puedan creer, y es muuuuuuuuuuuuuuuuuuuuuuuuuuuuuuuuuucha más ciencia de lo que la gente sospecha. Pero mucho, mucho más.
Venid, venid… que os voy a partir la cara, desechos de nuestra sociedad.
¿¿¿Me estáis leyendo, conspiranoicos de MIERDA, hatajo de payasos ignorantes? La Economía, chatos… es matemáticas. NO TODO es relativo, guapos. Ni depende de «opiniones» ni de lo que diga ninguna repajolera «escuela económica».
El descubrimiento de Wald no lo discute ni un keynesiano, ni un monetarista, ni un neoclásico, ni uno que pase por la calle… POR LA SENCILLA Y PUTA RAZÓN de que es un descubrimiento real, físico y total y absolutamente cierto. ¡Coño, como que es un descubrimiento matemático!
Como ése, la Economía como ciencia tiene una cantidad de descubrimientos, aportaciones e invenciones INCUESTIONABLEMENTE CIERTAS a carretadas.
Que los ignorantes aficionados a la discusión política, los conspiranoicos, radicales y «ultras» (de derecha o de izquierda) no lo sepan… o no lo sepan entender es SU PUTO PROBLEMA.
Si por mí fuera, castigaba judicialmente a esa gente, de la misma forma que soy de los que proponen públicamente la aplicación de multas y penas de prisión para aquellos que se niegan a vacunar a sus hijos, o que niegan a hacerles transfusiones de sangre, niegan que sucediera el holocausto judío, homeópatas y vendedores de curas milagrosas, etc. Porque no sólo son un peligro para ellos mismos, sino para los demás. Y los demás tenemos detrecho a EXIGIR castigo y compensación por sus gilipolleces y mentiras, SEAN ÉSTAS CON BUENA INTENCIÓN O NO.
Y nos jodemos todos, ¿no? Qué bieeeeeen, qué bonitoooooo… A ésa no la ponía yo de gestora de recursos ni LOCO. ¿Ves a lo que me refiero? La gente que piensa así es un PUTO PELIGRO. Joder, es que no entienden la Economía ni en sus conceptos más básicos. ¿Y a gente como ésa me voy a tener yo que parar a explicarle lo que es un proceso de creación-destrucción y gestión provisional prioritaria? Me es más eficiente ignorarla mientras se hace lo que hay que hacer.
La Economía es la ciencia que estudia la gestión de los recursos asumiendo SIEMPRE que van a ser escasos (lo sean o no). Porque si no lo hace así, nos va a pasar como a los rapanui y a los mayas… que la vamos a cagar pero que bien. Con la actitud de esa tipa que me hablas, nos cargaríamos todos los bosques antes de que se regenararan (guiño, guiño, Proyecto Venus, guiño, guiño)… como le pasó a los rapanui y casi les acaba por pasar a los mayas.
¿Se reparten a todos por igual?
Se reparten PRIORIZANDO y por debajo de una producción sostenible, PAYASA. O te cargas la economía de tu sociedad.
Que no tenéis ni zorra no ya de Economía sino de matemáticas.
Bueno, precisamente el año pasado se le concedió el mal llamado «Nobel de Economía» a unos autores (Pissarides y Mortensen) que investigaron la relación econométrica entre subvención, producción, creación de puestos de trabajo, etc. Las conclusiones son bastante importantes: no es que la subvención sea mala de por sí (puede ser necesaria coyunturalmente, como es el caso de ayudar a empezar a una empresa), es malo el exceso de subvención porque desalienta la producción, como bien dices. En hallar el punto de equilibrio correcto es donde está la cuestión.
Y del «hazme caso a mí y no a la ciencia», porque mi opinión o mi creencia vale tanto o más que una demostración científica recomprobable.
¡Coño! ¡Acerté!
Otro abrazo para ti.
Ibeth
«No sabéis graficar cuatro variables»
Sé que no te refieres a eso, pero no pude evitar recordar que el sueño de muchos compañeros era graficar una función cuyo dominio estuviese en el espacio vectorial R4 XD
Ayyyn :’3,graficar con varias variables es jodido (que va, solo se puede con funciones con dos variables independientes y una dependiente)
Manuel
Hola chema, leo bastante este blog aunque nunca he escrito y te escribo para saber que podria traer la idea de devaluar a España, que he oido hace poco en raido y luego mire sobre ello en internet y la ponen como una solucion a la crisis, y tambien decirte si alguna vez podrias escribir un articulo sobre eso, la devaluacion de divisas y ventajas y desventajas del valor de las monedas en relación con las otras.
Me imagino que estaras al tanto de la noticia, aunque pero te dejo un link donde ademas se dice como hacer la devaluacion sin bajar el precio de euro, pues al estar en la union europea no se podria:
http://www.eleconomista.es/mercados-cotizaciones/noticias/1061095/02/09/Magia-Trucos-para-devaluar-el-euro-sin-poder-hacerlo.html
¿y podrias decirme las venajas que tendria la devaluacion y la revaluacion en un pais?
chemazdamundi
¿Que nunca has escrito?
¿Y esto, qué es?
¿Tú te crees que soy tonto?
¿Tú te crees que NO voy a reconocer ni tu IP ni tu correo aunque haga la tira de tiempo que escribiste?
Chaval, si soy capaz de resolver integrales, ecuaciones y de formular a partir de graficación… es, entre otras cosas, porque soy más listo que el hambre y porque tengo una memoria de elefante.
¿Sabes lo que te digo?
Que tu mensaje lo va a responder Rita «la Cantaora».
Tu propaganda antikeynesiana te la vas a meter por donde te quepa.
Que en mi blog no vas a comentar hasta que des la cara.
La mejora de la competitividad va a venir a costa del trabajador ni porque lo diga ese artículo ni cualquier mierda neoliberal que me traigas.
¿Estamos?
Si me has puesto el correo OTRA VEZ es porque es auténtico y si sale la IP otra vez es porque a buen seguro es fija y no dinámica.
TE TENGO COGIDO POR LOS KLANDERS.
¿Sabes que hacerse pasar por otra persona y mentir en estos casos es delito? ¿Y el ciberacoso anónimo? Creo que lo dejé claro en «nomas para poder comentar (obligatorio leérselo)»:
Voy a hacer una visita al bufete para hacer consulta, «puede» que sea punible legalmente.
TIENES VEINTICUATRO HORAS PARA DISCULPARTE.
¿Contento con mi inteligencia y fastidiado con tu torpeza?
Para que veas QUIÉN soy y CÓMO las gasto.
Que no presumo de ser inteligente falsamente.
P.D.: no te molestes en borrar el mensaje.
Manuel
Pues entonces si que escribi 1 vez, pero ni me acordaba y claro que tengo ip fija y tambien puse el mismo correo solo cambie el nombre, y como no tengo mucha idea de economia esperaba que me explicaras si eso de devaluar es una posible solucion o solo otro disparate mas de los que se oyen.
Manuel
No veo por que te pones asin, no he faltado al respeto, solo escribi con un nombre falso, ya lei las normas para comentar y no me gustaria poner mis apellidos por internet ni mi nombre completo, asique no volvere a escribir en tu blog si te parece y solo lo seguire leyendo.
Disculpas por haber hablado como anonimo pero no quiero dar mis datos al igual que no me gustaria poner fotografias mias, pero no me parece bien lo que has liado, de un granito de arena has hecho una montaña y lo del acoso ¿eing?.
chemazdamundi
Disculpas aceptadas.
Pueso ser un cabronazo. Pero cuando uno se comporta como debe, tiendo la mano: la respuesta a las declaraciones de Krugman y las posibilidades de una devaluación la daré en un artículo cuando tenga tiempo.
Aunque no hayas cumplido las «normas».
No cuesta mucho comportarse bien y yo no me como crudo a nadie.
McManus
¡Joder, si te contara historias de terror de mi facultad…! Podría empezar por la estúpida manía de fumar en los pasillos, pero esto sólo es el principio. En cuanto a atrofia mental, encontramos cosas peores, mucho peores.Empecemos por, oh sorpresa, la teoría queer, que se centra excesivamente en el ambiente a la hora de hablar de la configuración de la orientación sexual, especialmente la homosexualidad (aunque es difícil encontrar indicios exactos, algo de biológica debe de tener cuando vemos casos en otros animales y vemos cómo ninguna de las «curas» de la homosexualidad funciona). Y sigo. Podría hablarte de cómo insisten en que Freud todavía sigue funcional y muy digno de interés, aún cuando les digas cuán machista es eso de decir que las niñas tienen envidia del pene y cuando se sabe que se negó a ejercer de científico serio para confirmar o refutar sus hipótesis.
Sigaaaamos. ¿Y esos mensajes demagógicos? ¡La revolución será feminista o no lo será! Que necesitamos revolución, sí, sin tener en cuenta que históricamente siempre ha salido a un precio muy alto. Y que, de hecho, una democracia reformista y que se autocorrige, de un modo parecido a la ciencia, funciona bastante mejor. Estoy hasta los cojones de putos ignorantes científicos que te dirán que hay que entender y hasta justificar el terrorismo, cuando nunca ha sido muy eficaz. Estoy hasta los huevos de esos relativismos, hasta los huevos de gente que llega a declamar «si, ya se ve su neutralidad y su destinación de fondos», confundiendo la ciencia en sí con sus usos como institución en la realidad. Estoy harto de gente que no parece conocer el coste de oportunidad y las disyuntivas. Estoy hasta la polla de gente que idealiza Cuba, cuando aquí tienen un estado de bienestar genial. Estoy hasta las pelotas de que idealicen a revolucionarios que en realidad hicieron mucho menos por la humanidad que el inventor del transitor. Estoy cansadísimo de gente que no para de decirme que el imperialismo es el único factor de la evolución cultural, cuando no es cierto y conocemos casos históricos de lenguas que se dejaron de usar en favor de otras, por ejemplo. ¡Estoy…! Este año, personalmente, encontré mi salida de alivio epistemológico en Demografía, que se basa mucho en modelos matemáticos y serios. De hecho, los del departamento de Demografía han sido de los mejores profesores que he tenido.
Ya me la suda que me acusen de imperialista científico. De hecho, creo que el imperialismo científico sería el mejor justificado pues la ciencia ha dado muchísimos más resultados que la filosofía y el arte, al cual son adictos muchos de mis compañeros para sacar conclusiones en…. una ciencia social, rayos. Tres años en la facultad ya me han curado de espanto de casi toda la demagogia posible.
Sí, no paro de pensar en que el anarquismo en todos sus colores, por respetable que me suene, aún me suena a pseudociencia pues todavía no ha conseguido resultados empíricos serios. Hoy, por hoy, una organización estatal más un sistema organizado de incentivos parece funcionar notablemente bien, aunque hay variaciones y variaciones. Estoy ya harto de ver pseudohistoria, cómo achacan todos los logros de la humanidad a las luchas sociales. Cuando la dura realidad indica que nunca hay un factor en toda la historia. Y que ninguno de ellos hace milagros. De hecho, algo que podría funcionar tan bien (o incluso mejor) como una lucha social es… el avance científico y tecnológico, la única forma posible de obtener acceso a más recursos para poder conseguir una mejor distribución de bienes.
Saludos, Chema.
José Antonio Presas Blanco
Hola, he empezado hace apenas unos días a leer tu blog por casualidad, y no sabes lo que me alegré al comprobar que eras uno de los autores de «Zeitgeist contrastado». Mis felicidades por esa maravilla de trabajo, a tí y a tu mujer, en cuyo blog también he dado las gracias. Porque las merecéis.
No sólo me habeis evitado acabar con alguna chorrada en la cabeza, sino que además he aprendido bastante y tú has conseguido que me leyese un tochazo sobre un tema que hasta entonces me repelía, la economía. Más que nada porque soy estudiante de veterinaria, y la asignatura de economía agraria, con todos sus teoremas y gráficas que a mí me sonaban a chino porque mi base de economía es equivalente a mis conocimientos de la historia del curling, me sentó como un tiro en la sien.
Así que felicidades también por ese logro, que estás ampliando ahora haciendo con los artículos de este blog que incluso esté empezando a interesarme. Y como buen estudiante, ya pensando en las vacaciones de verano, me preguntaba si no podrías recomendarme algún libro de historia de la economía que no sea muy técnico o algo parecido, para ir aprendiendo un poco más desde la base. No es imprescindible que esté en castellano, puesto que aunque mi inglés no va muy lejos, con tener un diccionario al lado para ciertas palabras me apaño. Muchas gracias.
chemazdamundi
Hola.
Muchas gracias, hombre.
Jo, jo, jo, ja, ja, ja…
A mí el curling siempre me ha parecido un poco ridículo. Pero en Canadá se lo toman muy en serio, oye.
Te recomiendo Historia económica mundial, de Rondo Cameron y Larry Neal. Trata una visión muy general de la Historia de la Economía desde sus inicios en el Paleolítico hasta casi la era presente. No incluye la época de crisis actual pero considero que como ESO se está produciendo AHORA, no es el momento adecuado para estudiarlo con perspectiva histórica suficiente. Con ese libro te vas a enterar de la evolución de la economía humana, y vas a ver los conceptos conforme «van saliendo» en la Historia. Y está en castellano. Mmmm… si no dominas el inglés técnico del mundo de la Economía, te recomiendo encarecidamente que, entonces, leas en castellano primero. Normalmente recomiendo leer siempre en inglés la obra original (no existen demasiadas obras económicas de envergadura en otras lenguas), pero el lenguaje utilizado suele ser muy, muy técnico, y no es lo que normalmente se enseña en una escuela de idiomas, que tiende a enseñar un lenguaje «más general».
A ti. Un abrazo.
brujita76
Hola, disculpa no di mi nombre en el comentario anterior. Recien descubri ayer tu blog, me lei de una sentada tus articulos de neoliberalismo, pero recien hoy leo la regla. Mi nombre es Laura Rodriguez.
Soy Fisica, por lo cual no le hago asco a la matematica o al metodo cientifico, sino todo lo contrario. Pero la verdad es que conozco bien poco de la investigacion de economia. En particular no tengo idea si existen mediciones a favor o en contra de teorias como la Marxista, y a su vez, todo lo que he leido algo, como Smith , Ricardo, Marx o Keyes es bastante viejo. Y conozco algo de teoria de juegos, y por supuesto bastante de estadistica. No conozco mucho de lo actual. Asi que te agradezco si tienes literatura que me puedas recomendar para leer sobre una vision empirica sobre las ideas de Marx, que es lo que me pica la curiosidad en el momento, considerando alguien que sabe bastante de matematica pero no de economia moderna. Desde ya, muchas gracias.
chemazdamundi
Hola, Laura.
No cumples todas las «nomas para poder comentar» pero no pareces mala persona y me ha interesado tu comentario y procedo a desfiltrarlo… porque es MUY interesante lo que preguntas.
Lamentablemente, la respuesta requeriría de una serie de artículos bastante largos, más o menos como la que estoy realizando sobre el neoliberalismo.
Existen mediciones científicas del marxismo como teoría económica aplicada, sí.
Insisto en que me llevaría mucho tiempo darte una respuesta detallada, pero te adelanto: si bien el marxismo económico ha realizado aportaciones importantes, la inmensa mayoría de las mediciones económicas de su aplicación le son desfavorables.
Bastante desfavorables.
Sí, obviamente son autores cuya obra se enmarca en épocas que cada vez nos son más lejanas. El contexto del estudio económico de los tiempos de estos señores difiere mucho del nuestro, lógicamente. Y el estudio de la Economía ha evolucionado tremendamente. Marx, por ejemplo, no contaba con las tremendas herramientas de análisis econométrico de que disponemos hoy en día. El estudio de la Economía en el marxismo es eminentemente filosófico y político, no científico (por mucho que algunos de los autores marxistas se arroguen una especia de «aura cientificista»). Como la ultraliberal escuela austríaca, vaya, sólo que el marxismo va hacia el lado del autoritarismo y de la izquierda, y la escuela austríaca tiene componentes anarcocapitalistas y ultraliberales. La escuela austríaca y el marxismo económico son los extremos más antagónicos de las diferentes propuestas economicistas. Son dos radicalismos en sitios totalmente opuestos.
Pues precisamente te dije lo anterior para que tengas cuidado con las críticas a la economía marxista. Te explico: es MUY difícil para un neófito encontrar críticas a la economía marxista (o marxiana) desde un punto de vista netamente científico. La mayoría de las críticas que se le hacen provienen de gente ideológicamente en contra, ESPECIALMENTE de «austríacos», autores de derechas, anticomunistas, etc. Y esas críticas no valen porque NO se basan en elementos científicos, sino emocionales, ideológicos y políticos. Por ponerte un ejemplo, es como si un chamán curandero critica a un homeópata por no ser «científico» y le acusa de que su técnica de curación es un fraude porque no utiliza conjuros medicinales, ¿entiendes?
A ti lo que te interesan son críticas científicas que incluyan demostraciones empíricas de por qué el marxismo económico falla o acierta.
En términos que un no entendido pueda comprender no las hay. Punto.
Si no te quieres esperar a que escriba algún artículo al respecto, puedes probar a leer en inglés Conjectures and Refutations: The Growth of Scientific Knowledge, de Karl Popper. Es una de las mejores críticas científicas al marxismo y no emplea matemáticas.
Una buena crítica netamente economicista te la puedes encontrar en The Good Society: The Humane Agenda, de John Kenneth Galbraith.
Un saludo.
Myrdal
Chema ya sé las reglas, no quiero que desfiltres el mensaje, sólo quería dejarte un artículo de wikipedia que me parece muy interesante, para que le eches un vistazo.
http://es.wikipedia.org/wiki/Econom%C3%ADa_iroquesa
chemazdamundi
¿Interesante… por…?
Myrdal
Por la relación entre Economía y antropológia. Las características de la economía iroquesa me parecen muy interesantes:
-Componentes de propiedad comunal
-División del trabajo por género.
-Comercio basado en la economía del don.
Bueno, en general, todo lo concerniente a los iroqueses, me resulta interesante, llegando a influir directamente su sistema político en la Constitución y democracia norteamericana.
Un saludo.
chemazdamundi
Lo que me temía.
Pues no, no son tan interesantes.
Por no decir que muchas de las cosas que se dicen sobre la economía iroquesa son exageraciones e incluso falsedades.
A ver, Francisco, ya hemos hablado de la gift economy en los comentarios y en los artículos.
Eso es propio de la inmensa mayoría de sociedades tribales. No es exclusivo de los iroqueses ni de ninguna otra nación de áreas culturales vecinas como la algonquina.
Ídem.
Ay, otra vez vuelta a hablar de lo mismo.
Se ha sobredimensionado MUCHÍSIMO el papel de la «economía del don». Pero mucho, mucho, mucho, mucho.
Por favor, no «flipéis» las cosas… mantened la cabeza fría y no se os abra la boca de asombro con lo primero que véis por internet, ESPECIALMENTE EN LA WIKIPEDIA EN ESPAÑOL. Creo que YA he hablado bastante al respecto de la wikipedia española.
Eso de la gift economy es una cuestión social más que económica. De hecho, en mi facultad la estudiamos como parte de la reciprocidad en Relaciones Públicas… ES FALSO QUE HUBIERA UNA SOCIEDAD CUYA ECONOMÍA ESTUVIERA SUSTENTADA EXCLUSIVAMENTE EN LOS REGALOS.
Rontundamente falso.
Es más, ese aspecto ni siquiera es GENERAL dentro de las sociedades tribales como la iroquesa: es más a nivel de clan que individual o familiar.
Ahora, con todo este asunto de la crisis económica mundial, muchos antropólogos (especialmente los más radicales y de tendencias anarquistas, ya he mencionado a David Rolfe Graeber) han desempolvado «estudios» antropológicos del año de la polka intentando hacer ver que ha habido sociedades humanas que no han utilizado el concepto de dinero.
Voy a repetirlo: puede haber y, de hecho, ha habido, muchísimas sociedades humanas que NO han necesitado de una unidad de intercambio monetario general, especialmente las más «primitivas»… PERO ES IMPOSIBLE FÍSICAMENTE LA EXISTENCIA DE UNA SOCIEDAD QUE NO EMPLEE EL CONCEPTO DE DINERO. Todo aquello que constituya almacenamiento y transmisión de valores ES dinero. Lo que incluye el aire, el agua, la comida, el sexo, etc. El concepto de dinero está indisolublemente unido al hecho de estar VIVO.
Eso por un lado.
Por otro, quiero reseñar el hecho de que la inmensa mayoría de antropólogos de tres al cuarto que han intentado ejemplificar con la economía iroquesa la existencia de una sociedad no-monetaria NO HAN CAÍDO EN LA INMENSA SOPLAPOLLEZ DE INCOHERENCIA EL QUE SUPONE QUE SI SE ESTUDIA A LOS IROQUESES EN ECONOMÍA NO ES POR EL USO DE LA ECONOMÍA DEL DON (o del regalo), SINO PORQUE PRECISAMENTE CONSTITUYERON UNO DE LOS POCOS PUEBLOS PRECOLOMBINOS EN DESARROLLAR EL CONCEPTO DE ACUÑACIÓN DE MONEDA FÍSICA: el wampum.
http://www.nativetech.org/wampum/wamphist.htm
Que es por lo que YO estudié a los iroqueses (y algonquinos) en Economía, no por la «economía del don», que es una cuestión que entra más dentro de las relaciones personales.
Tú fíjate si son torpes e ignorantes esos tipos que fallan en lo más básico: se me ponen a hacer «propaganda anarquista» de un supuesto sistema no monetario utilizando como ejemplo a un pueblo que se estudia en Historia de la Economía PRECISAMENTE POR SER DE LOS POCOS QUE UTILIZARON EL CONCEPTO DE MONEDA DE MANERA INDEPENDIENTE (no era exactamente una moneda, sino una cuasi-moneda, al estilo de lo que vimos que les sucedió a los mayas con las semillas de cacao).
Hay que ser GILIPOLLAS, vamos.
Es que me ponen de los nervios.
Francisco… eso es un mito moderno nacido de lo políticamente correcto, intentando corregir o aliviar el maltrato hacia los pueblos indígenas que tradicionalmente han sufrido.
La inmensa mayoría de antropólogos e historiadores modernos como Jack R. Nakove rechazan como falsa esa influencia de la constitución oral iroquesa en la actual americana.
Proviene de lo que se inventó un antropólogo iroqués, John Napoleon Brinton Hewitt a finales del XIX y principios del XX, y la influencia de esa obra (y por presión de determinados grupos políticos pro-derechos de los indios), motivó que el Congreso americano aprobara una resolución de reconocimiento de la influencia iroquesa en la elaboración de la constitución americana.
http://books.google.ca/books?id=ARbVmr941TsC&pg=PA107#v=onepage&q&f=false
http://en.wikipedia.org/wiki/Iroquois#Influence_on_the_United_States
Esa influencia no está probada y sí está total y absolutamente sobredimensionada.
Tal y como sucede con la «economía del don».
Qué curioso, ¿eh?
Consejos:
1) Cabeza fría. NADA de «flipar» ni asombrarse. Especialmente con todo lo que sea espectacular. A más espectacular, tanta más desconfianza.
2) CORROBORAD ENTRE VARIAS FUENTES… especialmente EN INGLÉS.
3) NADA de wikipedia en español. NADA.
4) Tened una sana desconfianza hacia los antropólogos autodidactas y con afiliación política (la misma que predico yo hacia los economistas políticos).
5) Haceos esta pregunta SIEMPRE: «si eso tan espectacular fuera así… ¿cómo es que no he sabido de ello antes o cómo es que no es de dominio público y no aparece referenciado científicamente?»
Y una cosa más… no me vengáis con cosas de las que ya he hablado, no me obliguéis a repetirme, por favor. Es por eso que pido que os leáis TODO lo que escribo, ya sé que soy un pesado recordándolo tantas veces, pero es que es por algo. Tened piedad de mí, que me veo obligado a repetir las cosas tantas veces. Este tiempo que empleo en contestar comentarios podría estar aprovechándolo en redactar MÁS artículos. Y no me sobra el tiempo precisamente, ya lo sabéis.
A ver, Francisco, entiéndeme, la economía comunal de subsistencia de las sociedades tribales y/o del mundo antiguo es MUY interesante y, de hecho, se estudian amplísimamente en la Economía científica. Ya he habldo de polinesios y mayas en mis artículos, pero hay ejemplos a patadas: la economía de los monasterios lamas del Tíbet, la del imperio de Monomotapa, la economía nahuatl, el sistema ayllu inca (ése es especialmente importante), etc. Pero, por favor os lo pido, que sé que es muy difícil, pero tenéis que intentarlo… leed, estudiad y aprended sobre todo ello (o sobre lo que sea) alejados lo más posible del efecto «flipamiento» que supone encontrarse con algo que no conocíais. Tened una poquita de desconfianza, intentad permanecer escépticos y objetivos y buscad siempre la corroboración y la contrastación de fuentes, porque el no hacerlo puede acarrear el creerse y/o divulgar cosas que son inexactitudes, exageraciones o que son, lisa y llanamente, mentiras (con menor o mayor intención política, social, etc.).
Este blog y estos artículos que estáis leyendo y que tanto esfuerzo me llevan escribir, tienen como función PRINCIPAL no sólo el enseñar sobre determinados aspectos (como la Economía), sino el enseñar a investigar y a SABER DISTINGUIR lo que es correcto de lo que no.
No me hagáis sentir como si mi trabajo no sirviera para nada, por favor.
No te preocupes que no estoy enfadado ni nada por el estilo, es que ya que me detengo a responder comentarios, aprovecho para dar una «paladita» más y estimular vuestro sentido crítico (sí, de todo el que pase por aquí y lea estos comentarios también).
Un saludo y un abrazo.
Myrdal
Disculpame Chema, deducí (mal) de una respuesta tuya acerca del potlatch, que no estabas muy al tanto de este fenómeno y por extensión de la economía del don, por eso quise recomendarte el artículo. Vista tu extensa y razonada respuesta veo que no es así.
He leído tanto tu artículo sobre los Mayas como sobre Rapa Nui, que me parecieron excelentes. Sobre los iroqueses he leído » El origen del Estado, la familia y la propiedad » de Engels, capítulos de Marvin Harris en diversos libros y también a Morgan.
No comparto esas visiones de sociedades que no utilizan el dinero como unidad de cambio. No niego en absoluto, el concepto dinero. Vamos es algo que tengo muy claro. He estudiado economía ( dos asignaturas). Sobre la economía del don, por lo que voy leyendo, tiene una plasmación interesante en el software libre.
Gracias por las referencias bibliográficas al tema de la influencia de la Confederación iroquesa en la democracia norteamericana, que desconocía. Aquí reconozco que me pudo más la ilusión que el análisis. De todas formas, mutatis mutandis, profundizaré más sobre el tema, y no me voy a creer a pies juntillas tu explicación, hasta que haya recopilado más información sobre ello. Estoy seguro que te tomarás esto como un halago.
Creo que has sido muy duro comparando el marxismo con la Escuela Austríaca en el otro comentario, y más cuando la segunda reniega del método científico.
El propio Popper simpatizó en un principio con el comunismo, y aún en sus obras más anticomunistas reconoce la buena voluntad de Marx para terminar en una deriva cada vez más reaccionaria hasta el punto de hacerse llamar Sir. El problema de Popper es que sus críticas al marxismo desde el falsacionismo y el método hipotético deductivo también se llevan por delante gran parte de las ciencias sociales y el muestreo secuencial del que has hablado tampoco lo resiste.
No comparto la tesis del totalitarismo de Arendt, ya que todas las corrientes de pensamiento aspiran a expandirse, entre ellas el neoliberalismo, del que ya se está hablando como un ideología totalitaria que lleva camino de un neofeudalismo, ni pienso que la aplicación práctica del comunismo, se corresponda con el pensamiento de Marx, ni se puede descontextualizar de todos los factores económicos, sociales y políticos de la época, algo a lo que era muy propenso Popper cayendo en el ahistoricismo.
Evidentemente el historicismo está más que superado, ni se puede tomar el marxismo como una catequesis, pero sí le reconozco más influencias positivas que negativas. Ahora si bien las proyecciones a largo plazo no son viables, si lo son más en términos de probabilidad, las proyecciones a medio y corto plazo, y esto es una herramienta básica dentro de las ciencias sociales, sino queremos caer en la posmodernidad que no deja de ser otro Gran Relato y no disponer de ninguna medida para corregir problemas sociales.
Bueno, en realidad, desde el punto epistemológico de la ciencia o de las ciencias , todas están en una profunda crisis, incluídas las matemáticas ( Teorema de la incompletitud de Gödel ), así que de las ciencias débiles para qué vamos a hablar.
Dicho esto mi pensamiento económico y político se encauza más dentro del keynesianismo, el propio Myrdal y la socialdemocracia, no el sociliberalismo del actual Gobierno, aunque simpatizo con el marxismo, ( no doctrinario) como un pensamiento en revisión constante que se sirve del materialismo dialéctico y de herramientas científicas para alcanzar la justicia social, lejos de la razón instrumental en la que estamos inmersos.
Últimamente estoy echando el ojo a varios libros de Galbraith, me apunto la recomendación anterior a Laura.
Siento la confusión, aunque tu respuesta ha merecido como siempre la pena.
Un saludo y un abrazo.
ibethkarina
«Creo que has sido muy duro comparando el marxismo con la Escuela Austríaca en el otro comentario, y más cuando la segunda reniega del método científico. »
Myrdal, si me permites opinar un poco de este comentario, creo que es bien sabido que teóricamente hablando el Marxismo no es comparable con la tesis de la escuela Austríaca al ser estas completamente diferentes y en vista de que la primera pretende tener un carácter científico.
Pero creo que Chema se refería a que en la práctica no son tan distintas. Quiero decir que a pesar de los distintos roces que podrían tener ambas ideologías al final ambas se soportan en estupideces, y muchas veces en vanas pretensiones de controlar la naturaleza humana, «crear un nuevo hombre», si me hago entender.
Un hecho curioso de la Economía (soy una futura estudiante, estoy investigando como loca) es que una parte importante de su progreso ha estado en manos de la ortodoxia, de hecho hay que señalar que hay escuelas y posiciones heterodoxas que se pasan de magufos (ejem, el propio Marxismo), claro, sin desprestigiar las excelentes ideas que han surgido de ella. De hecho estoy ampliamente interesada en desarrollar mi propio paradigma heterodoxo, no es que desprecie los aportes neoclásicos y neokeynesianos (simpatizo con este último), pero me encantaría pensar en una Economía más naturalista, son vicios que me quedan de la Ingeniería, pero tengo esas convicciones, afortunadamente ya hay gente que busca ayuda de otras ciencias.
«ni se puede tomar el marxismo como una catequesis, pero sí le reconozco más influencias positivas que negativas»
Curioso, yo percibo lo contrario.
A pesar de sentir algún tipo de gusto por Marx me es imposible ignorar que sus seguidores se han empeñado más en «politizar» la Economía que en hacer su pretendida ciencia. Y es que, seamos sinceros, el papel de esta «escuela de pensamiento economicista» en la Economía es meramente político, sus aportes científicos parecen estar congelados por empeñarse en seguir sus dogmas, los cuales pudieron tener (y de hecho tienen) un papel importante en el desarrollo de la Economía, pero ha sido ampliamente superado.
Usando mi lenguaje habitual, el neoclacisismo y su revolución marginalista (ja,ja putos payasos, creen que renovando dogmas y agregando una que otra cosita buena les vamos a creer, ya verán como acabarán con el Homo Economicus) los han jodido a todos :’D, y es que la teoría del valor Marxista ya está en la basura.
Marx debe ser superado, como pasó con Adam Smith (pobrecito, lo reemplazaron por un Judío llamado Milton Friedman)
Shalom :’D
chemazdamundi
No he dicho que no sepa del potlatch. Dije que no me gusta hablar de lo que no entra directamente en mi campo de estudio, que es la Economía.
El potlatch, como dije, es más una cuestión antropológica y social que estrictamente económica. Fue por eso por lo que di paso a Daniel, que es mi habitual más experto en Sociología, para que hablara de ese fenómeno.
MUCHO CUIDADO con Marvin Harris.
Ya decía yo que veía algo raras en las influencias y temas que me traes. Harris es percibido por la comunidad científica como alguien bastante radical, bastante politizado, y una persona a la que hay que leer tomándose un granito de sal.
Ese tipo es “famoso” por hacer aseveraciones espectaculares y muy controvertidas como que el canibalismo azteca y yanomami era por necesidades nutricionales. Y justificaba con determinados postulados malthusianos (la sobrepoblación) estas “actividades culturales” (manda huevos).
Vuelvo a pedirte que me entiendas: no es que Harris diga tonterías todo el tiempo ni nada de eso. Sino que la comunidad científica, si bien acepta numerosos estudios de campo de Harris… desconfía tremendamente de muchas de sus aseveraciones y de las conclusiones realizadas por él.
Porque se las traen.
Que no es que el hombre no haya realizado aportaciones interesantes, que lo ha hecho, pero a título personal te digo (y la mayoría de científicos sociales pensamos lo mismo), Harris peca de espectacularidad y de realizar afirmaciones muy, muy cogidas por los pelos con la intención de crear polémica. A Harris no se le estudia en Economía cultural, por ejemplo. No se le percibe como un buen “científico” porque con los datos que logra reunir (que es lo que nos interesa y con lo que nos quedamos), llega a veces a unas conclusiones que hacen que el resto de la comunidad científica enarquemos una ceja con desconfianza.
Tienes muuuuuuucho que leer todavía.
Bueno, me reafirmo en los consejos que te di en el anterior artículo y que creo que vienen a explicar un poco tu defensa del marxismo. Y ya de paso a ver si consigo explicarme un poco más a título personal.
Mira, Francisco.
Soy un científico social.
Y remacho lo de científico.
Soy una persona que no tolera ni el absurdo, ni el relativismo, ni la mentira. Soy una persona tremendamente escéptica, crítica y quisquillosa. Soy de los que machacan el concepto hasta la saciedad, se queda con lo que es cierto y desdeña lo que se demuestra como falso. Soy “mu pesao” a la hora de estudiar un tema. Y no me quedo con lo primero que veo ni abro la boca hasta que no estoy suficientemente seguro. Por eso, muchas veces, tardo tanto en contestar o en escribir.
Eso es para que mis conclusiones, ESPECIALMENTE aquellas que se basan en determinar una respuesta de “sí o no” estén bastante estudiadas… y sean MUY sólidas.
¿Tuvo una influencia determinante la constitución oral iroquesa sobre la escrita americana?
NO.
¿Existe la inflación?
SÍ.
¿2 + 2 = 4?
SÍ.
Pretendo enseñaros con mis artículos, como científico, a que encontréis por vosotros mismos esos mínimos de certeza, especialmente a la hora de analizar las AFIRMACIONES y CONCLUSIONES de autores de los que estemos hablando (como Marx, por ejemplo).
Y para empezar a llegar a esos mínimos de certeza se empieza desconfiando. Vas “pelando capas” hasta llegar al mínimo irreductible de certeza (que los hay en muchas ocasiones).
Nuestro sentido crítico debe manifestarse en el hecho de que no me trago lo primero que veo ni cualquier cosa, la diga quien la diga. Sean Marx o Harris o la madre que los parió a cada uno de ellos. Cuando un servidor empieza a leer a Harris y veo un postulado malthusiano aquí, una chorrada sin referenciación biológica allá, etc., ya empiezo a sospechar.
La obligación de todo quisqui es la de tomar aquello que sea cierto de entre lo que dijeron autores como éstos de los que hablamos, y desechar lo que se demuestre como falso o no acertado.
Lo diga Marx o lo diga Harris.
De Harris me quedo con sus estudios de campo, algunas cuestiones de su “materialismo cultural” pero NO con muchas de sus conclusiones, y con Marx me quedo con sus aportaciones a la lucha laboral, la búsqueda de la igualdad social, etc., pero desdeño el empleo justificado del autoritarismo, su jodida dialéctica materialista y su “visión” de la naturaleza humana.
¿Entiendes?
En eso se basa gran parte del ser científico… en no ser político ni en en quedarse con las cosas «que me gusta oír». Me tengo que quedar con lo que ES, me guste… O NO.
Isaac Newton realizó grandes y ciertas aportaciones en óptica. Me quedo con ellas. No me quedo con sus “aportaciones” místicas en su papel de hechicero alquimista.
Que no por rechazar las chorradas que dice una persona implica que no voy a aceptar aquello en lo que acierta. Ni voy a desdeñar las cosas en las que acierte porque el tío fuera un payaso o un hijo de puta. Von Braun fue un jodido nazi, pero no por ello voy a negar o rechazar que el colega realizó importantísimos avances en física e ingeniería.
Tú lo has dicho: “interesante”.
Pero no decisivo.
La evolución económica se da más y mejor conforme a una inventiva con incentivo remunerado. La aportación desinteresada es un complemento a ésta, muy interesante, pero no decisivo… ya que no puede sustituir a la primera de manera total y absoluta, mientras que lo contario SÍ puede ser cierto. La primera es la que forma el armazón principal de la evolución y crecimiento económico, aunque la segunda puede realizar aportes muy interesantes… y pueda modificar (especialmente en términos éticos, que es lo que nos interesa a los luchadores sociales) el camino o dirección que tome la primera.
¡No! ¡Me ofende que no confíes en mí! Ja, ja, ja…
Por supuesto, hombre.
No doy la paliza que doy con eso para nada.
De hecho, para eso pongo los enlaces, para que os los leáis y los podáis comprobar, qué cojones.
Y el primero dice aplicarlo pero no lo hace.
Es por eso que son dos radicalismos, contrarios, opuestos… y que no tienen mucha cabida en el ámbito del estudio científico económico serio.
Ni el marxismo ni el ultraliberalismo.
Aunque hay que reconocer que, dados los dos radicalismos, el marxismo tiene MÁS aportaciones y presenta cuestiones más interesantes en Economía que el ultraliberalismo y anarcocapitalismo de la escuela austríaca.
Vuelvo a decir que con el marxismo sucede lo mismo que con ese viejo chiste que dice: “yo no soy racista, negro de mierda”.
La escuela de Austria niega ser científica… y no lo es.
El marxismo dice ser científico… pero no lo es.
Como si Popper se puso a bailar sardanas en lo alto de una farola.
1) El título de “sir” le correspondía porque fue ennoblecido por la reina de Inglaterra. Era su derecho el utilizarlo aunque a mí me parezca una chorrada a título personal.
2) Eso importa una mierda, no me cometas la falacia del “hombre de paja”. Las críticas que YO hago a los autores se basan no en cómo se comportaron en su vida personal, sino en la crítica a su obra.
Y vuelvo a repetirte lo mismo: me quedo con lo que aciertan y desdeño lo que falla o en lo que mienten. No porque Popper se volviera más “reaccionario” según tus palabras, cuando empezó a chochear (nunca dejó de ser un demócrata), deja de tener razón en su crítica fundamental al marxismo: que el marxismo no es científico.
Popper se queja de que el marxismo utiliza su infame dialéctica para marear la perdiz y NO enfrentarse a la crítica principal que se le hace… que no resiste la evaluación del método científico. Muchas (por no decir la mayoría) de sus propuestas, predicciones de evolución del comportamiento humano y sus aplicaciones pragmáticas fallan estrepitosamente.
Como dicen con respecto al marxismo Popper, Keynes y multitud de otros científicos sociales que predican el método científico: si tu hipótesis se demuestra como falsa con los datos en la mano y la experimentación, pues te jodes: tienes que rechazarla y formular otra. No vale hacer encaje de bolillos con la dialéctica y ajustar las conclusiones (o los datos, que es lo más grave) a tus conclusiones previas.
Eso es mentir.
Y eso último es lo más grave de entre lo que se critica principalmente del marxismo.
Uy, uy, uy, uy…
Falso.
El muestreo secuencial se demuestra cierto con su aplicación continuada.
Se formuló una hipótesis y ésta se demostró como cierta mediante recomprobación continua.
Punto.
Las matemáticas son las matemáticas.
El muestreo secuencial NO ENTRA DENTRO DE LA PARTE DE CIENCIA SOCIAL DE LA ECONOMÍA, SINO DENTRO DE SU PARTE DE CIENCIA DURA, CHAVAL.
Madre mía lo que acabas de decir…
El neoliberalismo, en principio y en teoría, NO es totalitario.
Al revés, “se vende” como una ideología totalmente opuesta al autoritarismo.
¿Quién dice lo contrario?
Fuentes, fuentes…
El problema con el marxismo es que no es aplicable ni en su época ni en la nuestra, ni en el siglo XVI. Y si el marxismo fuera consciente de ello, y te recuerdo que hubo infinidad de intentos por ADAPTAR el marxismo a las diferentes realidades socioeconómicas de los países sonde se implantó… alguna de sus formas tendría que haber funcionado. No han funcionado ni el marxismo-leninismo ruso, ni el maoísmo de China, ni el Juche norcoreano, etc.
Por más adaptaciones que ha sufrido ha fallado en todas partes.
A ver, en términos estrictamente económicos, no es que no sea aplicable. Como serlo, lo es… es que NO ES EFICIENTE. Que no es lo mismo. Tenemos mejores alternativas disponibles que el marxismo (como el modelo económico socialdemócrata nórdico o el japonés).
El marxismo (especialmente el económico) no tiene dónde agarrarse para justificar su fracaso: se ha empleado a lo largo de MUCHO tiempo en MUCHOS entornos socioeconómicos distintos, adaptándose (supuestamente) a los mismos. Esa ventaja experimentativa no la tuvo el anarquismo, por ejemplo.
Me hace mucha gracia la gente que me viene diciendo: “es que el comunismo de Marx no se llegó nunca a aplicar en la realidad porque era muy difícil de aplicar y en realidad no hay que desecharlo”. Eso es escurrir el bulto. Por esa regla de tres, el capitalismo “bueno de verdad” tampoco se ha llegado a aplicar nunca. Ni el anarquismo “bueno de verdad”.
No me vale diseñar una sociedad perfecta o muy buena en el papel y luego venirme llorando con que “es que no ha funcionado porque la realidad es muy dura”. Ni, mucho menos, diseñar una sociedad que sea PEOR alternativa que otras de que disponemos. Esa comparativa no la resiste el marxismo.
TODOS los sistemas tienen ese hándicap… y unos han demostrado ser más eficientes que otros.
El marxismo ha resultado ser uno de los menos eficientes.
Depende.
Me quedo con muchas aportaciones de índole social del marxismo, insisto, pero en términos estrictamente científicos tiene poco, la verdad.
Y que no cumple tampoco el marxismo.
Pero chico… es que el marxismo ha demostrado, en su aplicación, no corregir muchos problemas sociales. Al contrario, los ha agravado.
Es cierto que ha aportado cosas como la lucha laboral, organizativa, etc. Pero ha liado la de San Quintín en cuestiones como el autoritarismo, la represión artística, la negación de la naturaleza individual humana, etc., etc., etc., etc., etc., etc., y un etcétera que te cagas.
¿Por qué será que todo el mundo que tiende a introducir un matiz de relativismo justificativo en su discurso me acaba viniendo con el teorema de Gödel?
Se te nota a la legua tu formación.
Pero desde lejos, vaya.
¿Que las matemáticas no se pueden explicar absolutamente a sí mismas?
Pues claro.
¿Y qué?
“Es que las matemáticas también son relativas y eso hace que el fallo del marxismo también sea relativo”.
¿Eso qué argumento es para defender la viabilidad o actualidad del marxismo? Que las matemáticas no se puedan explicar por sí mismas no implica que al marxismo haya que tolerarle su falso cientificismo o sus fallos. Primero, que las matemáticas, NO FALLAN. El que las matemáticas no se puedan explicar a sí mismas es una aportación QUE NO NIEGA su relevancia aplicativa, ni las hace relativas: no cuestiona su existencia ni su viabilidad ni es un “fallo”, sino que es una cuestión MÁS, AÑADIDA, a tener en cuenta… mientras que el marxismo es que falla. Punto.
No me mezcles manzanas con segundos, por favor.
¿Que las ciencias duras están en crisis?
Joder.
Lo que tengo que leer.
Pues tiene que revisarse muuuuuuuuuuuuuuuuuuucho si quiere decir algo en el mundo científico, porque por lo que a los científicos NOS respecta, el marxismo entra más dentro del mundo de la filosofía, la política, el “opinionismo” y la emoción.
Que no es que no tenga aportaciones, sino que no tiene aportaciones netamente científicas.
Y el materialismo dialéctico no es precisamente la más científica de sus aportaciones (el cultural ciertamente es otro tema).
Hazlo, te lo aconsejo.
Te queda mucho por leer (y a mí).
Tienes que ver más cosas desde más ángulos de vista y ser más crítico.
Yo, por ejemplo, no me quedo con muchas cosas del neokeynesianismo ni de la socialdemocracia, aunque me considere socialdemócrata porque concuerdo con bastantes cuestiones que expone este conjunto de ideas.
Con respecto al socioliberalismo… estoy de acuerdo contigo.
Muchas gracias, hombre.
Aquí estamos.
Otro para ti.
ibethkarina
«Me hace mucha gracia la gente que me viene diciendo: “es que el comunismo de Marx no se llegó nunca a aplicar en la realidad porque era muy difícil de aplicar y en realidad no hay que desecharlo”. »
Es que el Comunismo de Marx no se ha llegado a ver (pues nunca se superó la fase socialista) porque es una pantochada que no funciona xD, y con eso nos basta y sobra. No hay que recurrir a los multiples Fails de los Marxistas para darse cuenta de lo mierdero que es el Comunismo (el que sale en papel, yo soy de las que creen que los totalitarismos marxistas no superaron nunca el socialismo, y que por tanto deben llamarlo así), se desprestigia solito xD, es que si de plano es muy dificil aplicarlo pues no vale la pena ;)